ControverSciences est archivé. Il reste consultable mais il n'est plus possible de contribuer.
Le code source pour faire tourner le serveur reste disponible sur GitHub.
Effet des champs électromagnétiques sur les organismes marins
Figure :
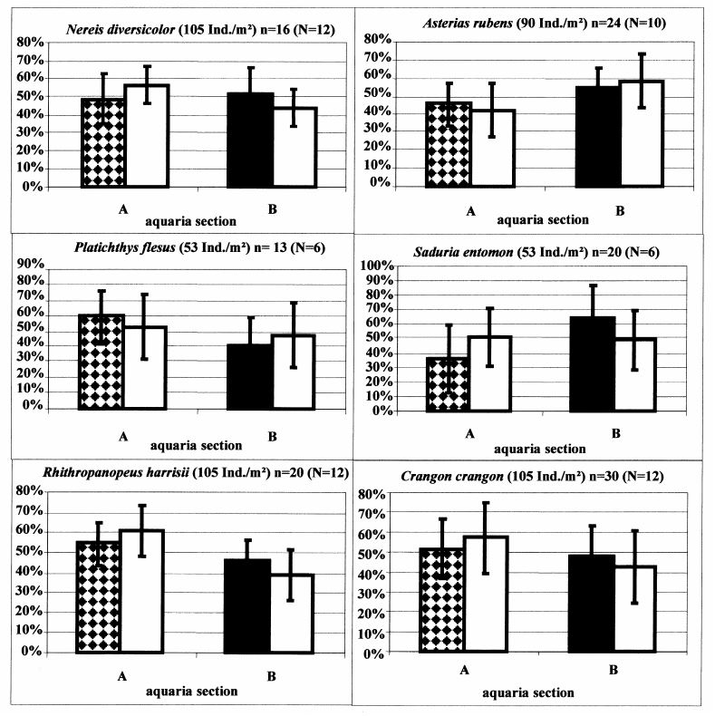
Fig. 2 (Bochert & Zettler, 2006) : Réaction à court-terme de Nereis diversicolor, Asterias rubens, Crangon crangon, Saduria entomon, Platichthys flesus et Rhithropanopeus harrisii à un champ magnétique. Distribution des pourcentages moyens (± écart-type) de n essais expérimentaux et N individus (nombre d'individus par m² entre paranthèses) dans deux sections d'aquarium. Barre en pointillés - haute intensité magnétique, barre noire - faible intensité magnétique, barre blanche - contrôle.
Introduction à l'article :
Contexte : Bien que des champs magnétiques appliqués extérieurements aux systèmes biologiques peuvent produire des changements discernables au regard des groupes contrôles, ceux-ci sont souvent apparus non significatifs (études avant 2006). Dans une publication précédente, Bochert & Zeltler (2004) rapportent ne pas avoir observé d'effet de champs électromagnétiques (EMF) artificiels d'intensité similaire au maximum de ceux produits par les câbles de transmission sous-marins (ici supérieur aux 3.2 mT relevés à 0.1 m de distance) sur la survie de taxons marins benthiques divers suite à une exposition sur le long-terme.
Objectifs : Le but de la présente étude est d'apporter des résultats nouveaux en ce qui concerne de possibles effets sur l'orientation / déplacement (comportement) et la physiologie des organismes adultes, liés à une exposition sur le court-terme aux EMF (en conditions reproduites en laboratoire) statiques (DC), et alternatif (AC) dans une moindre mesure.
Expériences de l'article :
2 expérimentations en conditions contrôlées ont été réalisées pour évaluer les effets potentiels d'EMF artificiels sur des taxons qui peuvent être rencontrés près des câbles.
La première évalue la réponse comportementale de trois espèces de crustacés, une sp. d'échinoderme, de polychète et de poisson (benthiques) à des expositions brèves d'EMF statiques artificiels. Un nombre fixé d'individus d'une espèce ont été placés dans un aquarium à 2 compartiments de même volume séparés par une vitre amovible. Au préalable deux bobines en anneaux ont été installées de part et d'autre d'un des compartiments et produisaient un EMF horizontal, créant un différentiel d'intensité magnétique inter-compartiment. Après 22h écoulées, le nombre d'individus dans chaque compartiment a été comptabilisé (plusieurs répétitions).
La seconde expérience évalue la consommation en oxygène de 2 Crangon crangon et 1 Palaemon squilla lors d'expositions de 1, 2 ou 3h à des champs magnétiques statique ou alternatif (50Hz).
Résultats de l'article :
Expérience 1 : Pour les 6 espèces étudiées, aucune différence significative de répartition inter-sections de l'aquarium (après 22h, en prenant en compte l'ensemble des répétitions) entre la condition de contrôle et lorsqu'un EMF est appliqué n'a été notée par les auteurs. ⅔ des 6 individus Saduria entomon (crustacé) ont été retrouvés - en tendance (fig.2) - dans le compartiment où l'intensité magnétique est faible, alors que les Platichthys flesus (poisson, N=6) se concentrent plutôt dans le compartiment entouré par les bobines générant l'EMF. De telles tendances ne sont pas observées chez les 4 autres espèces étudiées.
Expérience 2 : La consommation moyenne cumulée en oxygène augmente dans tous les cas au cours du temps. Aucune différence significative de consommation moyenne d'O2 n'a été détectée entre l'exposition aux EMF DC, AC, ou en absence de CEM chez les 3 individus (2 sp.). Elle est notable - mais pas significativement - entre les MF statiques et les autres modalités chez Palaemon squilla).
Rigueur de l'article :
Doutes concernant le protocole et les données :
Les données de la seconde expérience sont à la limite de la possibilité d'exploitation statistique, avec seulement 3 répétitions sur chaque animal. Etant donné qu'une variabilité intra-spécifique peut exister, il semble aussi difficile de tirer des conclusions solides quant à l'effet des EMF sur un seul paramètre physiologique de seulement 3 individus répartis en 2 sp. (dont un seul Palaemon squilla).
Dans l'expérience 1, le comptage à un instant unique (juste après 22h) des individus dans chaque compartiment n'est peut-être pas le plus informatif pour étudier une réponse comportementale vis à vis des EMF en terme de "choix" de section, vu le nombre de réplicats (N<=12 par sp.). Il s'agirait dans ce cas de suivre l'évolution de paramètres liés au déplacement Taormina et al. (2020))
Les résultats des tests de Wilcoxon relatifs aux données présentées fig.2 et 3 (expériences 1 et 2 respectivement) et les p-value associées ne sont pas exposés.
Ce que cet article apporte au débat :
Les auteurs déduisent de leurs résultats que les EMF statiques des câbles sous-marins ne semblent pas avoir d'influence sur l'orientation et l'oxygénation des organismes. Selon eux, la non-nocivité des EMF sur la faune pourrait être "complètement confirmée" suite à leur travail, à condition que des paramètres supplémentaires soient pris en compte dans les études ultérieures : en effet ici, il s'agit juste d'une absence de détection d'effet qui est notable pour le débat (plutôt qu'une absence d'effet), sans évitement marqué des EMF par 6 sp. appartenant à 4 groupes taxonomiques distincts.
Néanmoins d'après la revue critique d'E. Burton (2016), l'étude de Bochert & Zettler (2006) est l'une des rares abordant l'impact physiologique lié aux expositions aux EMF (qui plus est dans un milieu où l'intensité de champ (~2.7 mT) est bien supérieure aux conditions rencontrées près des câbles) d'où son importance dans le cadre de cette controverse malgré le nombre réduit de répétitions / individus.
Remarques sur l'article :
Cette publication prend la forme d'une "review" mais permet en majorité aux auteurs de présenter des résultats de 2 expériences inédites. Au vu des expériences réalisées et des résultats obtenus, il aurait pu être judicieux de choisir un titre plus précis et en adéquation avec le contenu nouveau apporté par la review (un titre général est justifié par le fait les résultats d'autres études sont exposés dans les premières parties du chapitre rédigé pour ce journal).
Dans l'expérience 1 (résultats confirmés pour les polychètes par Jakubowska et al., 2019), il aurait pu être intéressant de comparer les comportements entre les espèces (à partir du même jeu de données), c'est à dire de mettre en évidence (ou pas) des différences significatives entre les distributions des individus de chaque taxon au sein des compartiments.
Cette référence - importante pour la controverse - est beaucoup citée dans d'autres publications, surtout en ce qui concerne l'expérience comportementale (fig.2), plus étayée.
Publiée il y a plus de 5 ans
par
K. Gernelle et J.M. Breton.
Dernière modification il y a plus de 5 ans.
Effet des champs électromagnétiques sur les organismes marins
Fig. 2 (Bochert & Zettler, 2006) : Réaction à court-terme de Nereis diversicolor, Asterias rubens, Crangon crangon, Saduria entomon, Platichthys flesus et Rhithropanopeus harrisii à un champ magnétique. Distribution des pourcentages moyens (± écart-type) de n essais expérimentaux et N individus (nombre d'individus par m² entre paranthèses) dans deux sections d'aquarium. Barre en pointillés - haute intensité magnétique, barre noire - faible intensité magnétique, barre blanche - contrôle.
Contexte : Bien que des champs magnétiques appliqués extérieurements aux systèmes biologiques peuvent produire des changements discernables au regard des groupes contrôles, ceux-ci sont souvent apparus non significatifs (études avant 2006). Dans une publication précédente, Bochert & Zeltler (2004) rapportent ne pas avoir observé d'effet de champs électromagnétiques (EMF) artificiels d'intensité similaire au maximum de ceux produits par les câbles de transmission sous-marins (ici supérieur aux 3.2 mT relevés à 0.1 m de distance) sur la survie de taxons marins benthiques divers suite à une exposition sur le long-terme.
Objectifs : Le but de la présente étude est d'apporter des résultats nouveaux en ce qui concerne de possibles effets sur l'orientation / déplacement (comportement) et la physiologie des organismes adultes, liés à une exposition sur le court-terme aux EMF (en conditions reproduites en laboratoire) statiques (DC), et alternatif (AC) dans une moindre mesure.
2 expérimentations en conditions contrôlées ont été réalisées pour évaluer les effets potentiels d'EMF artificiels sur des taxons qui peuvent être rencontrés près des câbles.
La première évalue la réponse comportementale de trois espèces de crustacés, une sp. d'échinoderme, de polychète et de poisson (benthiques) à des expositions brèves d'EMF statiques artificiels. Un nombre fixé d'individus d'une espèce ont été placés dans un aquarium à 2 compartiments de même volume séparés par une vitre amovible. Au préalable deux bobines en anneaux ont été installées de part et d'autre d'un des compartiments et produisaient un EMF horizontal, créant un différentiel d'intensité magnétique inter-compartiment. Après 22h écoulées, le nombre d'individus dans chaque compartiment a été comptabilisé (plusieurs répétitions).
La seconde expérience évalue la consommation en oxygène de 2 Crangon crangon et 1 Palaemon squilla lors d'expositions de 1, 2 ou 3h à des champs magnétiques statique ou alternatif (50Hz).
Expérience 1 : Pour les 6 espèces étudiées, aucune différence significative de répartition inter-sections de l'aquarium (après 22h, en prenant en compte l'ensemble des répétitions) entre la condition de contrôle et lorsqu'un EMF est appliqué n'a été notée par les auteurs. ⅔ des 6 individus Saduria entomon (crustacé) ont été retrouvés - en tendance (fig.2) - dans le compartiment où l'intensité magnétique est faible, alors que les Platichthys flesus (poisson, N=6) se concentrent plutôt dans le compartiment entouré par les bobines générant l'EMF. De telles tendances ne sont pas observées chez les 4 autres espèces étudiées.
Expérience 2 : La consommation moyenne cumulée en oxygène augmente dans tous les cas au cours du temps. Aucune différence significative de consommation moyenne d'O2 n'a été détectée entre l'exposition aux EMF DC, AC, ou en absence de CEM chez les 3 individus (2 sp.). Elle est notable - mais pas significativement - entre les MF statiques et les autres modalités chez Palaemon squilla).
Doutes concernant le protocole et les données :
Les données de la seconde expérience sont à la limite de la possibilité d'exploitation statistique, avec seulement 3 répétitions sur chaque animal. Etant donné qu'une variabilité intra-spécifique peut exister, il semble aussi difficile de tirer des conclusions solides quant à l'effet des EMF sur un seul paramètre physiologique de seulement 3 individus répartis en 2 sp. (dont un seul Palaemon squilla).
Dans l'expérience 1, le comptage à un instant unique (juste après 22h) des individus dans chaque compartiment n'est peut-être pas le plus informatif pour étudier une réponse comportementale vis à vis des EMF en terme de "choix" de section, vu le nombre de réplicats (N<=12 par sp.). Il s'agirait dans ce cas de suivre l'évolution de paramètres liés au déplacement Taormina et al. (2020))
Les résultats des tests de Wilcoxon relatifs aux données présentées fig.2 et 3 (expériences 1 et 2 respectivement) et les p-value associées ne sont pas exposés.
Les auteurs déduisent de leurs résultats que les EMF statiques des câbles sous-marins ne semblent pas avoir d'influence sur l'orientation et l'oxygénation des organismes. Selon eux, la non-nocivité des EMF sur la faune pourrait être "complètement confirmée" suite à leur travail, à condition que des paramètres supplémentaires soient pris en compte dans les études ultérieures : en effet ici, il s'agit juste d'une absence de détection d'effet qui est notable pour le débat (plutôt qu'une absence d'effet), sans évitement marqué des EMF par 6 sp. appartenant à 4 groupes taxonomiques distincts.
Néanmoins d'après la revue critique d'E. Burton (2016), l'étude de Bochert & Zettler (2006) est l'une des rares abordant l'impact physiologique lié aux expositions aux EMF (qui plus est dans un milieu où l'intensité de champ (~2.7 mT) est bien supérieure aux conditions rencontrées près des câbles) d'où son importance dans le cadre de cette controverse malgré le nombre réduit de répétitions / individus.
Cette publication prend la forme d'une "review" mais permet en majorité aux auteurs de présenter des résultats de 2 expériences inédites. Au vu des expériences réalisées et des résultats obtenus, il aurait pu être judicieux de choisir un titre plus précis et en adéquation avec le contenu nouveau apporté par la review (un titre général est justifié par le fait les résultats d'autres études sont exposés dans les premières parties du chapitre rédigé pour ce journal).
Dans l'expérience 1 (résultats confirmés pour les polychètes par Jakubowska et al., 2019), il aurait pu être intéressant de comparer les comportements entre les espèces (à partir du même jeu de données), c'est à dire de mettre en évidence (ou pas) des différences significatives entre les distributions des individus de chaque taxon au sein des compartiments.
Cette référence - importante pour la controverse - est beaucoup citée dans d'autres publications, surtout en ce qui concerne l'expérience comportementale (fig.2), plus étayée.
Dernière modification il y a plus de 5 ans.