ControverSciences est archivé. Il reste consultable mais il n'est plus possible de contribuer.
Le code source pour faire tourner le serveur reste disponible sur GitHub.


L'utilisation des néonicotinoïdes a-t-elle un impact sur les populations d'insectes pollinisateurs ?



Cadre, focus et mise au point :

Les insectes pollinisateurs jouent un rôle majeur dans les écosystèmes en participant à la reproduction de nombreuses plantes à fleur. Depuis quelques années, on observe un déclin des populations d’insectes pollinisateurs, en particulier des abeilles et des bourdons, notamment en Europe : en effet, plus de 75% des insectes volants ont disparu des zones protégées allemandes et selon certains auteurs, ce chiffre pourrait être étendu à toute l’Europe. Plusieurs phénomènes seraient à l'origine de ce déclin comme la raréfaction de nourriture, la présence de prédateurs, de parasites et de pathogènes, le dérèglement climatique ou encore l'utilisation croissante de pesticides tels que les néonicotinoïdes.

Les néonicotinoïdes appartiennent à une famille d'insecticides agissant sur le système nerveux des insectes comme le puceron par exemple, en perturbant la transmission de potentiel d'action entre neurones. Cette famille d'insecticides est la plus utilisée dans le monde; elle représente un tiers des ventes mondiales et les trois molécules principalement utilisées sont : l'imidaclopride, le thiaméthoxame et la clothianidine. Ces molécules ont pour particularité d'être systémiques, autrement dit, elles peuvent se retrouver dans l'ensemble des organes de la plante. En conséquence, ces insecticides se retrouvent dans le pollen et le nectar, ce qui est susceptible de contaminer les insectes pollinisateurs.

Depuis les années 1990, de nombreux apiculteurs français observent une mortalité importante des abeilles domestiques. en 2009, l’Anses avait été saisie par le ministère chargé de l’agriculture d’une demande d’appui scientifique et technique sur les conséquences éventuelles de l'utilisation des néonicotinoïdes afin de mieux comprendre ce phénomène. À la suite de la publication de plusieurs études scientifique , l'EFSA (Autorité Européenne de Sécurité des Aliments) publie un rapport qui conduit au bannissement complet de l'utilisation de trois néonicotinoïdes (l'imidaclopride, le thiaméthoxame et la clothianidine) au sein de l'Union Européenne en 2018. Cependant , en 2020, une dérogation est votée afin de re-autoriser l'usage de néonicotinoïdes pour les seules cultures de la betterave sucrière, menacées par le virus de la jaunisse transmis par le puceron.
Cependant, l'ensemble de ces décisions politiques sont largement contestées et la nocivité de ces néonicotinoïdes sur les populations d'insectes pollinisateurs fait l'objet d'une vaste controverse scientifique.

Publiée il y a plus de 5 ans par Université de Montpellier.
Dernière modification il y a plus de 5 ans.

La synthèse :

I. Un effet des néonicotinoïdes sur les insectes pollinisateurs mis en évidence par des études en laboratoire et en conditions semi-champ

1. Études en laboratoires
Dans un premier temps, des études en laboratoires ont été menées afin d'évaluer l'impact de ces insecticides sur différents insectes pollinisateurs. Comme leur nom l'indique, ces expériences sont réalisées dans des conditions contrôlées, notamment le temps d'exposition , la dose et les types d'insecticides utilisés. Il a été démontré que l’imidaclopride ou l'acétamipride peuvent entraîner des impacts sur certaines fonctions physiologiques chez les abeilles solitaires ou les bourdons (baisse de nutrition[1], baisse de la température corporelle[2] ou encore baisse de la fécondité[3]). Certaines de ces études montrent que ces effets sont dose dépendant [3]. Ainsi, cela montre que la dose de néonicotinoïde utilisée dans les différentes expériences joue un rôle majeur dans leur toxicité. Par ailleurs, un déficit locomoteur induit par des doses sublétales de néonicotinoïdes chez l'abeille domestique Apis mellifera a également été confirmé en 2015.[4]. Cependant, ces études sont critiquables puisque les conditions d'expérimentations ne reflètent pas la réalité sur le terrain, notamment vis à vis des doses utilisées et des paramètres pris en compte, d'où l'importance de mener des études avec des conditions plus proches de la réalité.

2. Etudes en semi-champs
Dans ce cadre d'expérimentation, les insectes pollinisateurs sont d'abord traités en laboratoires puis sont relâchés dans les champs afin d'évaluer leur performance.

Afin de mieux comprendre les phénomènes évoqués ci-dessus, trois études utilisant cette approche ont été publiées en 2012. La première a montré que lorsque les abeilles domestiques et les bourdons étaient exposés à des doses sublétales, le développement des colonies était fortement impacté[5]. La deuxième a mis en évidence que le traitement des abeilles domestiques à des concentrations sublétales de thiaméthoxame entraine un moindre retour des abeilles à la ruche[6]. Enfin , la troisième étude a démontré que le traitement de bourdons par de la clothianidine et/ou de l’imidaclopride affectait les bourdons tant à l'échelle individuelle que collective (mort d’individus plus importante, moindre développement de la colonie, etc)[7]. De 2013 à 2015, ces études analysées par l'EFSA ont contribué à décréter l'interdiction temporaire de l'utilisation d'imidaclopride, de thiamétoxame et de clothianidine dans certains pays d' Europe.
D'autres études apparues plus tard stipulent que l'exposition chronique aux néonicotinoïdes réduit la santé des abeilles à proximité des cultures de maïs notamment[8]. Il a également été rapporté que les abeilles domestiques Apis mellifera étaient chroniquement exposées aux résidus des produits agrochimiques et ce pendant des périodes allant jusqu'à 16 semaines. Cette exposition impacte le comportement hygiénique (immunité sociale des abeilles pour éviter la transmission de parasites) et la capacité à soutenir une reine pondeuse au fil du temps. Des tests d'orientation et de réactivité au sucre (PER : Proboscis Extension Reflex - test qui consiste à évaluer le réflexe de comportement naturel de l'abeille qui étend sa trompe en réponse à la stimulation des antennes avec une solution sucrée) ont permis de conclure que les différents produits chimiques inodores de manière générale, ne pouvant pas être détectés par les abeilles, affectaient bien leur motricité et leur comportement d'orientation. Cependant, nous avons noté que peu d'études évaluent l'impact de ces utilisations sur les populations de bourdons.

II. Cependant, les études en champs ne relatent pas d’effets des néonicotinoïdes sur les insectes pollinisateurs
Les études en champs sont des approches plus réalistes permettant d’évaluer l’impact des néonicotinoïdes sur les populations d’insectes pollinisateurs. Dans ce type d’expériences, des insectes sont placés à proximité de champs traités ou non aux néonicotinoïdes et il convient de limiter tout facteurs confondants qui sont des paramètres non mesurés par l'étude et qui pourraient expliquer les différences observées. Parmi ces facteurs, nous avons par exemple la présence d'insecticides autre que les néonicotinoïdes susceptible d'être retrouvée dans les zones d'expérimentation , la présence de prédateurs ou encore la présence de pathogènes.
En utilisant ce type d’approche, une première étude n'a rapporté aucun effet d’un traitement de thiaméthoxame sur des populations d’abeilles domestiques Apis mellifica durant quatre ans[9]. Une deuxième étude n’observait pas d’effets suite à un traitement de clothianidine sur des abeilles domestiques, des bourdons Bombus terrestris et des abeilles sauvages Osmia bicornis[10].
Ces études sont cependant critiquables : la première ne réalise aucun traitement statistique des données , et la deuxième ne s’intéresse qu'à une seule zone géographique durant une seule saison. De plus, les auteurs ne prennent pas en compte tous les facteurs confondants.
En 2015, une étude entre en contradiction avec l’une des études citées ci-dessus [11]. Celle- ci s’intéresse aux effets de la clothianidine sur trois populations d’insectes pollinisateurs Apis mellifica, Bombus terrestri, Osmia bicornis et les auteurs ont observé un impact sur les populations de bourdons et surtout d’abeilles sauvages.

Dans un premier temps, nous pouvons conclure que ces analyses reflètent des résultats contradictoires. En effet, d’une part la majorité des études en laboratoires et en conditions semi champs rapportent des effets sur différents insectes pollinisateurs tandis que la plupart des études en champs ne rapportent pas d'impacts, notamment chez l’abeille domestique. Par ailleurs, les études menées sur le terrain sont parfois contradictoires puisque certaines études montrent que la clothianidine impact la capacité des abeilles sauvages à former des nids, tandis que d’autres études ne rapportent aucun effet.
Comment expliquer cette incohérence malgré des conditions d'expérimentation similaires ?

III. Des résultats contradictoires pouvant être expliqués par plusieurs facteurs
Depuis la publication de ces études, plusieurs explications ont été proposées afin de mieux comprendre cette incohérence.

A) Le protocole expérimental
Premièrement, les doses utilisées en laboratoires et en conditions semi champs sont jugées comme étant "non réalistes" et beaucoup trop élevées par rapport aux doses appliquées sur le terrain, ce qui peut expliquer les différences observées en fonction des approches expérimentales.
Nous avons également vu qu'en fonction des études, les auteurs se basent sur différentes fonctions physiologiques et biologiques tels que les tests d'orientations, la quantification de la mortalité et de la survie, le test PER , la présence de reine pondeuse, le nombre d’ouvriers, le poids de la colonie etc.. Il n’existe donc pas d'approche strandardisée pour évaluer l'impact de ces insecticides et effectuer une bonne évaluation des risques des néonicotinoides (Probabilistic Risk Assessments : PRA). En effet, les modalités de PRA actuelles sont largement controversées puisque celles-ci ne sont pas réglementées ou standaridisées. Les PRA sont actuellement basées sur des utilisations des néonicotinoïdes par pulvérisation uniquement, et sont basées sur une seule espèce de pollinisateurs à savoir Apis mellifera. Par ailleurs, elles ne prennent pas en compte la résilience des colonies qui sont capables de remplacer les abeilles ouvrières. Afin que les différents résultats soient plus exploitables et confirmés, l’ANSES recommande d'intégrer d'autres facteurs qui devraient être pris en compte à chaque évaluation des risques associés à une produit phytosanitaire avant d'obtenir une autorisation de mise sur le marché.

B) La durée d’évaluation
Une étude a montré que l’utilisation de thiamétoxame sur des colonies d’abeilles domestiques entrainait une mortalité plus importante mais que le nombre total d’abeilles vivantes restait inchangé suite à une surproduction d'abeilles ouvrières[12]. Par ailleurs, il y a moins de faux bourdons (abeilles mâles permettant la fécondation des reines d’autres colonies) : les auteurs mettent donc en évidence un phénomène de résilience de la colonie sur une durée d'un an. Ce phénomène de résilience expliquerait pourquoi nous n'observons pas d'effets des néonicotinoïdes en champs, contrairement aux études en semi-champs.
Cependant cette résilience ne concerne que les abeilles ouvrières mais pas les faux bourdons. On pourrait donc s'interroger sur l'impact de cette diminution de faux bourdons mais également sur le phénomène de résilience des abeilles ouvrières sur le plus long terme (plusieurs années). Ces études à long terme sont également importantes pour évaluer l'impact d'une exposition chronique des pollinisateurs aux néonicotinoïdes puisque les études que nous avons présentées ont été majoritairement menées sur des périodes relativement courtes.

C)Des différences entre les études sur le terrain
Une étude a été réalisée dans trois pays différents (Hongrie, Allemagne et Royaume uni) afin d'évaluer l’impact du thiaméthoxame et la clothianidine sur des populations d’abeilles domestiques, de bourdons et d’abeilles sauvages[13]. Les auteurs ont montré que ces néonicotinoïdes peuvent avoir des effets variables en fonction des pays. Cela suggère que l’impact de ces insecticides sur les pollinisateurs dépend de l’environnement dans lequel ils vivent. Toutes ces données illustrent la complexité des écosystèmes et le fait que le déclin des pollinisateurs est un phénomène multifactoriel. Afin de mieux l'évaluer , il faudrait également prendre en compte les différents facteurs confondants tels que la présence de pathogènes et de prédateurs, qui ne sont actuellement pas considérés.

Conclusion
Pour conclure, les différents résultats obtenus entre chaque expérience peuvent être expliqués par des différences de protocoles expérimentaux, une résilience des colonies d’insectes et le fait que le déclin des insectes pollinisateurs est un phénomène multifactoriel.
Les études menées en laboratoires ont dans un premier temps apporté des éléments qui valident les suspicions à l'égard de l'impact des néonicotinoïdes sur différents pollinisateurs et les études en champs permettent de conclure qu'il semblerait que les néonicotinoïdes impactent les populations d'abeilles sauvages. Pour ce qui est des abeilles domestiques et des bourdons, la conclusion est moins évidente. Des études sur plusieurs années devraient être menées pour évaluer l’impact des néonicotinoïdes à long terme.
A l’avenir, il serait nécessaire de mettre en place des protocoles standardisés pour évaluer l’impact des insecticides sur les insectes pollinisateurs. Dans l’idéal, les protocoles d'expérimentation devraient prendre en compte plusieurs paramètres tels que : les différentes espèces de pollinisateurs, l’utilisation simultanée de combinaisons de insecticides, mais aussi les métabolites issus de la détoxification de l'insecticide par l'insecte le tout sur plusieurs années et ce dans plusieurs zones géographiques. A terme, il faudrait considérer d'autres facteurs confondants tels que la quantité des insecticides présents dans les champs étudiés, la présence de prédateurs ou de parasites, l'évolution du climat mais aussi l'interaction des produits agrochimiques conventionnellement utilisés avec ces insecticides.
Concernant l’utilisation des néonicotinoïdes dans les champs de betterave, on peut penser que cette utilisation va impacter les abeilles sauvages. Cependant, nous ne pouvons pas affirmer avec certitude qu’elle impactera les abeilles domestiques, les bourdons ou d'autres pollinisateurs.
Toutefois, même si les néonicotinoïdes n’avaient aucun effet sur les insectes pollinisateurs, il est important de garder à l'esprit que cette utilisation doit être modérée puisque une application intensive de ces insecticides pourrait entrainer l’apparition de résistances et impacter la faune des sols, ce qui pourrait perturber l’ensemble de l’écosystème, mais également la santé humaine. En effet, jusqu'à présent, de nombreuses études en laboratoire in vitro et in vivo ont montréndes effets toxiques potentiels des néonicotinoïdes qu'il est nécessaire de prendre en compte pour une évaluation optimale des risques liés à leurs utilisations.

Publiée il y a plus de 5 ans par Université de Montpellier et collaborateurs..
Dernière modification il y a plus de 4 ans.

Cette synthèse se base sur 13 références.

L'utilisation des néonicotinoïdes a-t-elle un impact sur les populations d'insectes pollinisateurs ?
Oui  ou  Non ?



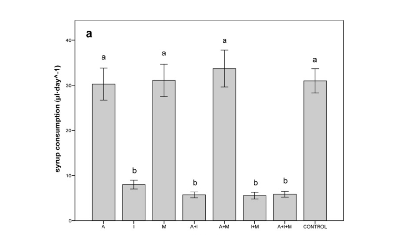
Effets d'un néonicotinoïde, l'acétamipride, en sirop sur le développement de microcolonie de Bombus impatiens

Article - 2020 - PLOS ONE
Effects of the neonicotinoid acetamiprid in syrup on Bombus impatiens (Hymenoptera: Apidae) microcolony development
Allison A. Camp, Wanda C. Williams, Brian D. Eitzer, Robert W. Koethe, David M. Lehmann

Exposition orale chronique à des combinaisons de pesticides via le pollen et le nectar : effet sur l'alimentation et la performance thermique des abeilles solitaires

Article - 2019 - Scientific Reports
Chronic oral exposure to field-realistic pesticide combinations via pollen and nectar: effects on feeding and thermal performance in a solitary bee
Celeste Azpiazu, Jordi Bosch, Elisa Viñuela, Piotr Medrzycki, Dariusz Teper, Fabio Sgolastra

L'effet d'un insecticide néonicotinoïde et d'un fongicide sur la réactivité au sucre et le comportement d'orientation d'Apis mellifera dans des conditions semi-champ

Article - 2018 - Insects
The Effect of Neonicotinoid Insecticide and Fungicide on Sugar Responsiveness and Orientation Behavior of Honey Bee ( Apis mellifera) in Semi-Field Conditions
Xingchuan Jiang , Zhengwei Wang , Qibao He , Qiongqiong Liu , Xinyang Li , Linsheng Yu , Haiqun Cao 7

Effets des néonicotinoïdes sur les abeilles sauvages et domestiques dépendant des pays

Article - 2017 - Science
Country-specific effects of neonicotinoid pesticides on honey bees and wild bees
B. A. Woodcock, J. M. Bullock, R. F. Shore, M. S. Heard, M. G. Pereira, J. Redhead, L. Ridding, H. Dean, D. Sleep, P. Henrys, J. Peyton, S. Hulmes, L. Hulmes, M. Sárospataki, C. Saure, M. Edwards, E. Genersch, S. Knäbe, R. F. Pywell

L'exposition chronique aux néonicotinoïdes réduit la santé des abeilles à proximité des cultures de maïs

Article - 2017 - Science
Chronic exposure to neonicotinoids reduces honey bee health near corn crops
N. Tsvetkov, O. Samson-Robert, K. Sood, H. S. Patel,D. A. Malena,P. H. Gajiwala, P. Maciukiewicz, V. Fournier,A. Zayed

Etude à grande échelle sur les effets de la clothianidine utilisé en enrobage de graine de colza sur des insectes pollinisateurs au nord de l'Allemagne

Article - 2016 - Ecotoxicology
Large-scale monitoring of effects of clothianidin dressed oilseed rape seeds on pollinating insects in Northern Germany: implementation of the monitoring project and its representativeness
Fred Heimbach, Anja Russ, Maren Schimmer, Katrin Born

Aucun effet de l'exposition chronique aux néonicotinoïdes à faible niveau sur l'apprentissage et la fécondité des bourdons

Article - 2016 - PeerJ
No effect of low-level chronic neonicotinoid exposure on bumblebee learning and fecundity
Saija Piiroinen, Cristina Botías, Elizabeth Nicholls, Dave Goulson

Étude des impacts d'une exposition réaliste sur le terrain à un pesticide néonicotinoïde sur l'alimentation des bourdons, leur capacité de repérage et la croissance des colonies

Article - 2016 - Journal of Applied Ecology
Investigating the impacts of field-realistic exposure to a neonicotinoid pesticide on bumblebee foraging, homing ability and colony growth
Dara A. Stanley, Avery L. Russell, Sarah J. Morrison, Catherine Rogers, Nigel E. Raine

Un déficit locomoteur induit par des doses sublétales d'insecticides pyréthrinoïdes et néonicotinoïdes chez l'abeille domestique Apis mellifera

Article - 2015 - PLOS ONE
A Locomotor Deficit Induced by Sublethal Doses of Pyrethroid and Neonicotinoid Insecticides in the Honeybee Apis mellifera
Mercédès Charreton, Axel Decourtye, Mickaël Henry, Guy Rodet, Jean-Christophe Sandoz, Pierre Charnet, Claude Collet

L’enrobage de semences avec des néonicotinoïdes impact négativement les abeilles sauvages

Article - 2015 - Nature
Seed coating with a neonicotinoid insecticide negatively affects wild bees
Maj Rundlöf, Georg K. S. Andersson, Riccardo Bommarco, Ingemar Fries, Veronica Hederström, Lina Herbertsson, Ove Jonsson, Björn K. Klatt, Thorsten R. Pedersen, Johanna Yourstone, Henrik G. Smith

Réconciliation des études en laboratoire et des études en champs sur la toxicité des néonicotinoïdes sur les abeilles.

Article - 2015 - Proceedings of the Royal Society B: Biological Sciences
Reconciling laboratory and field assessments of neonicotinoid toxicity to honeybees
Mickaël Henry, Nicolas Cerrutti, Pierrick Aupinel, Axel Decourtye, Mélanie Gayrard, Jean-François Odoux, Aurélien Pissard, Charlotte Rüger, Vincent Bretagnolle

Etude sur 4 ans de l’exposition à long terme et répétée à du thiamethoxame sur les colonies d’abeilles

Article - 2013 - PLoS ONE
A Four-Year Field Program Investigating Long-Term Effects of Repeated Exposure of Honey Bee Colonies to Flowering Crops Treated with Thiamethoxam
Edward Pilling, Peter Campbell, Mike Coulson, Natalie Ruddle, Ingo Tornier

Le pesticide néonicotinoïde réduit la croissance des colonies de bourdons et la production de reines

Article - 2012 - Science
Neonicotinoid Pesticide Reduces Bumble Bee Colony Growth and Queen Production
P. R. Whitehorn, S. O'Connor, F. L. Wackers, D. Goulson

Un pesticide couramment utilisé diminue la survie et la capacité à butiner des abeilles domestiques.

Article - 2012 - Science
A Common Pesticide Decreases Foraging Success and Survival in Honey Bees
M. Henry, M. Beguin, F. Requier, O. Rollin, J.-F. Odoux, P. Aupinel, J. Aptel, S. Tchamitchian, A. Decourtye

Effet de l'imidaclopride, un insecticide néonicotinoïde, sur la fécondité des bourdons travailleurs (Bombus terrestris)

Article - 2012 - Ecotoxicology
Effects of imidacloprid, a neonicotinoid pesticide, on reproduction in worker bumble bees (Bombus terrestris)
Ian Laycock, Kate M. Lenthall, Andrew T. Barratt, James E. Cresswell

L’exposition simultanée à plusieurs pesticides affecte grandement les bourdons à l’échelle de l’individu et de la ruche

Article - 2012 - Nature
Combined pesticide exposure severely affects individual- and colony-level traits in bees
Richard J. Gill, Oscar Ramos-Rodriguez, Nigel E. Raine

Différence de sensibilité des abeilles mellifères et des bourdons à un insecticide alimentaire (imidacloride)

Article - 2012 - Zoology
Differential sensitivity of honey bees and bumble bees to a dietary insecticide (imidacloprid)
James E. Cresswell, Christopher J. Page, Mehmet B. Uygun, Marie Holmbergh, Yueru Li, Jonathan G. Wheeler, Ian Laycock, Christopher J. Pook, Natalie Hempel de Ibarra, Nick Smirnoff, Charles R. Tyler