ControverSciences est archivé. Il reste consultable mais il n'est plus possible de contribuer.
Le code source pour faire tourner le serveur reste disponible sur GitHub.


Le pastoralisme est-il néfaste ou bénéfique pour la biodiversité ?



Cadre, focus et mise au point :

Dans un contexte de préservation de la biodiversité, de grandes questions se posent quant à l’implication de l’Homme dans son érosion. Les activités humaines étant un des principaux facteurs impactant la diversité spécifique et fonctionnelle à l'échelle mondiale, la question ici est de démêler les bénéfices et les impacts que peut avoir le pastoralisme sur la biodiversité locale.
Apparu il y a 10 000 ans avec la domestication des animaux d’élevage, le pastoralisme est le système agricole le plus ancien. Il se caractérise par une utilisation extensive des pâturages, c’est à dire, peu d’animaux sur de grandes parcelles avec un mouvement régulier des troupeaux entre les parcelles. Il existe différents types de pastoralisme :

  • le pastoralisme nomade : le troupeau et les éleveurs se déplacent en permanence sur des trajets irréguliers ;
  • la transhumance : mouvements saisonniers de la majorité ou la totalité des troupeaux depuis l’exploitation vers une zone de pâture ;
  • l’agropastoralisme : le mouvement des animaux permet la mise en culture de certaines parcelles ;
  • le ranching : très grandes zones de pâture clôturées.

Ce système de pastoralisme a connu un énorme déclin suite au développement des activités industrielles et de l’adoption de nouvelles pratiques agricoles.

L’intérêt ici est de mesurer si ce système en déclin peut avoir un intérêt pour la biodiversité et s'il est donc nécessaire de le valoriser. Pour cela, nous allons nous concentrer sur les études récentes faites sur la totalité du globe afin de voir l’effet du pastoralisme.

La diversité se mesure à différentes échelles :

  • La diversité alpha est celle mesurée sur un milieu donné.
  • La diversité bêta correspond au taux de remplacement d'espèces le long d'un gradient entre deux milieux différents.
  • La diversité gamma correspond à la diversité au niveau d'une région (plusieurs milieux et diversité bêta)

Hypothèses:

  • La présence de certaines espèces domestiques favorise la présence d'une nouvelle biocénose mais aussi la dispersion des espèces entre différents pâturages (zoochorie).
  • Le maintien des paysages ouverts permet le maintien de la biodiversité de ces milieux mais limite l'apparition des espèces de milieux forestiers au niveau local.
  • L'ouverture des paysages participe à la diversification des paysages d'une région donnée, entraînant alors une augmentation de la biodiversité.
  • L'enrichissement des prairies peut entrainer un changement dans la composition spécifique des milieux
Publiée il y a plus de 7 ans par A. Prud'homme.
Dernière modification il y a plus de 6 ans.

La synthèse :

Introduction
Le pastoralisme (pâturage extensif) est un système agricole, qui bien qu’ancestral, ne cesse d’être en déclin dans plusieurs régions du globe. En effet, l’arrivée de mode de cultures plus productif a entraîné une vague d’intensification de l'agriculture.
Dans les pays très anthropisés, le pastoralisme a complètement disparu des plaines et se maintient dans les régions montagneuses ou les prairies inaptes à l’industrialisation ou aux grandes cultures. Aujourd’hui, le pastoralisme recouvre 25 % du globe et conserve un rôle socio-économique important pour les populations rurales (emplois, tourisme). Cependant, l’agriculture est connue pour modifier les composantes biotiques et abiotiques d’un milieu et peut donc perturber ce dernier positivement ou négativement.

La biodiversité est importante pour le maintien de l’équilibre des écosystèmes et pour l’adaptabilité de ces derniers aux changements environnementaux. L’effet de l'agriculture sur la biodiversité fait l’objet de beaucoup d’études, ainsi, il paraît pertinent d’analyser les conséquences des différents systèmes pastoraux afin de savoir quel système a le moins d’impact sur la biodiversité.
L'analyse se divisera en trois parties : une première concernant la modification des facteurs abiotiques et la structure des habitats par le pastoralisme ; une seconde sur les conséquences du pastoralisme sur la diversité des espèces puis nous conclurons sur comment allier pastoralisme et conservation de la biodiversité.

I_ Modification des facteurs abiotiques et la structure des habitats par le pastoralisme
Le pastoralisme entraîne une modification du milieu abiotique mais aussi de la structuration de l'habitat (en terme de strates végétales).

Tout d'abord, dans les milieux arides, la présence de troupeaux domestiques implique une ressource en eau continue. Ainsi, les pastoralistes vont modifier la topologie du site, permettant une meilleure disponibilité en eau qui sera bénéfique à la faune domestique ainsi qu'à la faune sauvage[1]. Le pastoralisme, plus précisément par les gros herbivores domestiques, va aussi entraîner une augmentation de la luminosité au niveau du sol et une diminution de l'épaisseur de la litière[2], ce qui va permettre aux espèces végétales (notamment les espèces héliophiles, qui ont un besoin important de soleil pour leur développement) de mieux croître.
Un pâturage trop intensif (e.g arrêt du pastoralisme nomade et sédentarisation[1]) ou un surpâturage peut avoir des effets irréversibles. Le surpâturage se caractérise par une surexploitation des ressources végétales des prairies par le bétail entraîné par une trop grande densité d'individu[3] ou un pâturage moins dense qui dure trop longtemps sur la parcelle. Ce dernier peut entraîner une augmentation de la surface en sols dénudés ce qui va entraîner une augmentation des phénomènes d'érosion et de ruissellement[1][2][4] et donc un appauvrissement du sol en minéraux et en matière organique. Ces observations montrent l'importance d'un maintien d'une pression de pâturage faible et adaptée au sol et à la topologie (l'érosion et le ruissellement sont plus forts en pente[5]).
Le pâturage par les herbivores domestiques va donc avoir une forte implication dans le cycle des nutriments et la nutrition des végétaux[1]. Par exemple, le pastoralisme nomade va entraîner la formation des zones riches en nutriments autour des installations temporaires et le déplacement des troupeaux va permettre la régénération des zones anciennement pâturées[6].

Le pastoralisme va aussi sculpter les communautés végétales et leurs strates.
L'existence d'un pâturage assez régulier sur les prairies va notamment limiter la fermeture des milieux [7][8]. Le maintien du milieu ouvert peut entraîner une perturbation de la succession écologique du milieu : ce dernier n'atteindra pas son stade climacique (i.e. état le plus stable que peut atteindre un milieu et les espèces le composant)[1][8].
Le pastoralisme peut aussi entraîner une variation de l'hétérogénéité de l'habitat[1][3] et de la taille moyenne des végétaux[9][3].

II_Conséquences du pastoralisme sur la diversité des espèces
Le pastoralisme influence la diversité des espèces et leurs interactions.
Le pastoralisme est une méthode graduelle et peu intrusive, mais son influence sur le milieu peut dépendre de l'espèce domestique pâturant, du fait d'une différence dans l'utilisation des pâtures. Le pâturage par des chevaux peut entraîner une forte diminution de l'épaisseur de la litière et des obstacles à la lumière, permettant une meilleure luminosité au sol, ce qui sera favorable pour certains végétaux comme par exemple les orchidées[2]. Le pâturage par les bovins est plus bénéfique à la richesse spécifique et la structuration des herbacées, ce qui induit une plus forte diversité de bourdons et des autres invertébrés[10]. Au contraire, les ovins, connus pour consommer préférentiellement certaines fleurs et herbacées, sont plus néfastes pour les invertébrés. Cependant, le pâturage par des gros herbivores comme les chevaux et les vaches entraîne à terme un tassement du sol, ce qui est néfaste pour l'ensemble des êtres vivants sur et dans le sol (diminution de l'infiltration de l'eau dans le sol, augmentation du risque d'érosion et de ruissellement)[5].

Le pastoralisme peut être bénéfique pour la faune sauvage, car il permet un contrôle des prédateurs et de certains parasites[1]. De plus, la présence du bétail peut aussi être une condition nécessaire à la présence d'autres espèces, comme par exemple le vautour Percnoptère d'Egypte (Neophron percnopterus)[11] et le groupe des bousiers (Coleoptera : Scarabaroidea)[12]. Ces deux espèces clés sont tout deux dépendantes de l'abondance bétail et l'abandon du pastoralisme bouleverse grandement leur dynamique ainsi que le rôle qu'ils assument dans leur écosystème (recyclage de la matière, plus un rôle sanitaire pour les vautours). Ces interactions fortes démontrent une implication du pastoralisme dans les réseaux trophiques.

Le pastoralisme prolongé ou un pâturage trop intense (pâturage intensif) peut avoir différentes conséquences qui vont influencer directement sur la diversité de groupes d'espèces comme le surpâturage, une homogénéisation du milieu ou la formation de zones riches en nutriments.
Le surpâturage est une conséquence néfaste provoqué par un pâturage intensif ou un manque de temps de régénération de la pâture dans les systèmes extensifs. Il impacte directement la richesse spécifique végétale, qui est plus faible dans les milieux surpâturés que dans les milieux de pâturage extensif et nomade[13]. Il peut aussi entraîner une augmentation (en proportion) d'espèces végétales épineuses ou à défense toxique non-comestibles ou non-appétentes pour les troupeaux[1]. Ce changement de composition peut être irréversible, car la faune domestique comme la faune sauvage ne consommeront pas ces espèces, ce qui pourra à terme entraîner la fermeture des prairies.
La diminution de l'hétérogénéité se caractérise par la perte des différentes strates végétales représentées par différents types de végétaux (herbacées, arbustes, arbres) suite à un pâturage trop intensif. Cette diminution peut être néfaste ou positive suivant le groupe d'espèce considéré. La perte d'hétérogénéité de structure végétale s'avère néfaste pour les ongulés sauvages des savanes africaines, du fait d'une spécificité d'habitat chez les ongulés (notamment les espèces de petites tailles, qui ont tendance à être plus spécialisées)[1]. Cette hétérogénéité d'habitat est aussi nécessaire pour les sauterelles, pour qui une diversité d'habitats permet à plus d'espèces d'occuper le milieu[9]. Cependant, des pratiques telles que le sylvopastoralisme (pâture en sous-bois limitant la présence d'arbustes sous la canopée) peuvent être bénéfique pour les chauves-souris, pour qui l'absence de sous-bois permet une meilleure circulation[14]. Ainsi, l'homogénéisation de l'habitat est favorable à la diversité spécifique des chauves-souris, permettant aux espèces à faible maniabilité d'être plus efficace lors de la chasse.
La présence prolongée de bétail peut également entraîner la formation de zones riches en nutriment par le dépôt de fumier. Sur ces zones, les espèces locales peuvent être remplacées par des espèces exogènes, adeptes des milieux enrichis[6]. De plus, cet enrichissement du sol peut limiter le développement des espèces et entraîner une diminution de la richesse spécifique[6].

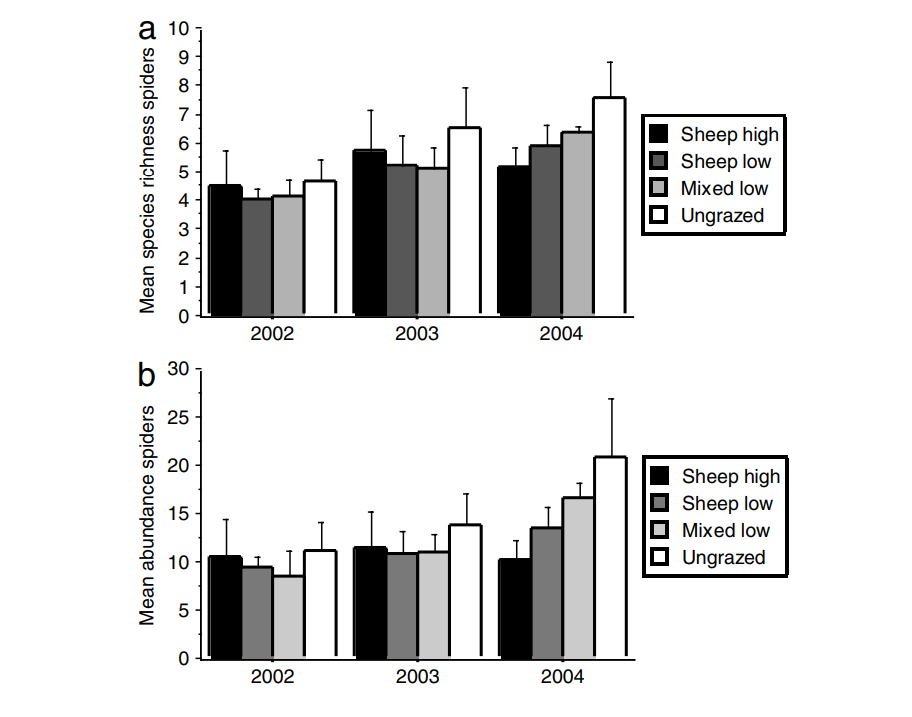
Une diminution de l'intensité du pâturage peut avoir divers effets bénéfiques pour la faune et la flore sauvage. Elle est liée à une diminution de la densité du bétail sur la pâture (passage du pâturage intensif au pastoralisme) ou de la durée de pâturage (pastoralisme nomade). En entraînant une augmentation de la taille moyenne de la végétation, elle va être favorable pour certaines espèces de papillons[9] ; mais aussi pour les araignées (Aranéides : Araneae), en augmentant la taille de leurs toiles et la diversité de leurs proies[3]. Cependant, l'augmentation de la taille moyenne de la végétation est néfaste pour les oiseaux des milieux ouverts et les amphibiens[15], entraînant une diminution de leur abondance.

L'abandon du pastoralisme a de nombreuses conséquences dont la principale est la fermeture des milieux ouverts[7][8]. La perte de ces zones refuges par reforestation naturelle est une menace pour les espèces dépendantes des milieux ouverts. En effet, plusieurs études montrent que la fermeture du milieu a un fort impact notamment sur les oiseaux des milieux ouverts[7][2]. De plus, ces espèces sont pour la plupart des espèces en déclin ou menacées, d'où l'importance de les conserver. En entraînant une diminution de la diversité des herbacées à fleurs[10] et des végétaux en général[2][16], la fermeture des milieux mène aussi à une diminution de la diversité spécifique des bourdons[10]. Cependant, l'augmentation de la taille de la végétation suite à l'abandon du pastoralisme entraîne l'augmentation globale de la diversité d'oiseaux, leur fournissant plus de sites de nidification (et d'abris) et d'alimentation[7]. Elle est aussi bénéfique pour les papillons de nuit[17], certains papillons de jour[18] et les hyménoptères tels que les guêpes et abeilles maçonnes ainsi que leurs parasitoïdes[9].

L'utilisation du pastoralisme pour gérer les prairies peut aussi être néfaste pour certaines espèces, sûrement du fait d'un dérangement. C'est notamment le cas pour les reptiles, qui ont une diversité spécifique plus faible dans les zones pâturées que dans les zones naturelles[15].

Ainsi, on se rend compte que le pastoralisme entraîne diverses conséquences qui peuvent être bénéfiques ou néfastes (et parfois irréversibles) selon le mode de pastoralisme exercé, les espèces considérées, l'espèce pâturant ou encore le site géré.

III_Comment doit évoluer le pastoralisme pour soutenir les sciences de la conservation ?
Selon les espèces ou groupes d'espèces considérés, les influences du pastoralisme vont être différentes. Dans certains cas, le pastoralisme aura des effets bénéfiques sur une espèce[11][12] ou sur la richesse spécifique du groupe (Orchidées[2], Végétaux[2][16], Chauves-souris[14], Oiseaux de milieux ouverts[15][7][2], Amphibiens[15], Bourdons[10], Araignées[3]) ; ou au contraire, il aura un effet néfaste sur la richesse spécifique du groupe (Reptiles[15]). Pour d'autres espèces, l'intensité du pâturage influence la diversité spécifique et un pâturage extensif est donc préféré (Insectes[9][17][18], Oiseaux[7][19], Ongulés[1]). En effet, on observe que le pastoralisme est une méthode de gestion moins néfaste que le pâturage intensif[13][20], qui lui entraînera dans la majorité des cas une diminution globale de la diversité spécifique et la dégradation du milieu.
Ainsi, il est primordial d'adapter le mode de gestion aux espèces que l'on veut conserver, et notamment se concentrer sur des espèces d'intérêt[18][7][11].
Le pastoralisme n'étant pas entièrement néfaste pour la biodiversité, plusieurs solutions sont envisageables pour le maintenir. Par exemple, revenir à un pastoralisme pluri-spécifique permettrait de conserver l’hétérogénéité de l'habitat[1]. La formation d'une mosaïque (ou la rotation) de prairies abandonnées et de pâtures limiterait les perturbations ainsi que la fermeture du milieu[9].

Au vu de ces arguments, on se rend compte que les conséquences du pastoralisme sont à étudier au cas par cas et donc que le choix du mode de gestion dépend de l'histoire du site, la topologie, le sol et les espèces sauvages et domestiques d'intérêts. Cependant, le changement brutal du mode de gestion étant néfaste pour les espèces du milieu, il faudrait maintenir le mode de gestion initial de la prairie afin de limiter toute perturbation[17][21].

Publiée il y a plus de 7 ans par A. Prud'homme et K. Gawron.
Dernière modification il y a plus de 6 ans.

Cette synthèse se base sur 21 références.

Une gestion des prairies semi-naturelles favorisant la diversité des plantes et des insectes : L'importance de l'hétérogénéité et de la tradition

Article - 2017 - Agriculture, Ecosystems & Environment
Management of semi-natural grasslands benefiting both plant and insect diversity: The importance of heterogeneity and tradition
Gianmaria Bonari, Karel Fajmon, Igor Malenovský, David Zelený, Jaroslav Holuša, Ivana Jongepierová, Petr Kočárek, Ondřej Konvička, Jan Uřičář, Milan Chytrý

Le pâturage annuel par les chevaux soutient les communautés de plantes vasculaires, d'orchidées et d'oiseaux rares dans les prairies sèches calcaires

Article - 2016 - Agriculture, Ecosystems & Environment
Year-round horse grazing supports typical vascular plant species, orchids and rare bird communities in a dry calcareous grassland
Martina Köhler, Georg Hiller, Sabine Tischew

Le type d’habitat joue un rôle plus important que le pâturage du bétail dans la structuration des communautés arbustives et pollinisatrices.

Article - 2016 - Journal of Insect Conservation
Habitat type plays a greater role than livestock grazing in structuring shrubsteppe plant–pollinator communities
Sherri L. Elwell, Terry Griswold, Elizabeth Elle

Réponse des assemblages d'araignées (Araneae) à l'hétérogénéité structurelle et à l'abondance des proies dans la végétation sub-montagnarde modifiée par le pâturage de conservation

Article - 2015 - Global Ecology and Conservation
The response of spider (Araneae) assemblages to structural heterogeneity and prey abundance in sub-montane vegetation modified by conservation grazing
Peter Dennis, John Skartveit, Anja Kunaver, David I. McCracken

Effets directs du bétail sur les oiseaux des prairies au Canada.

Article - 2014 - Conservation Biology
Direct Effects of Cattle on Grassland Birds in Canada
BARBARA I. BLEHO, NICOLA KOPER, CRAIG S. MACHTANS

Comment le pastoralisme change la végétation de la savane : Impact des anciennes installations pastorales sur la diversité des plantes et leur abondance dans le sud-ouest du Kenya.

Article - 2014 - Biodiversity and Conservation
How pastoralism changes savanna vegetation: impact of old pastoral settlements on plant diversity and abundance in south-western Kenya
Ville Vuorio, Andrew Muchiru, Robin S. Reid, Joseph O. Ogutu

Effets des régions de pâturage et biogéographiques sur la biodiversité des prairies en Hongrie - analyse d'assemblages de 1 200 espèces

Article - 2013 - Agriculture, Ecosystems & Environment
Effects of grazing and biogeographic regions on grassland biodiversity in Hungary – analysing assemblages of 1200 species
A. Báldi, P. Batáry, D. Kleijn

Perceptions des éleveurs sur la biodiversité et les stratégies de gestion des terres dans la région aride de Stony Plains, en Australie du Sud: conséquences pour les décideurs

Article - 2012 - Journal of Environmental Management
Pastoralists' perceptions of biodiversity and land management strategies in the arid Stony Plains region of South Australia: Implications for policy makers
Helen P. Waudby, Sophie Petit, Guy Robinson

Est-ce que la reforestation représente une menace potentielle pour la diversité des bousiers dans les Alpes ?

Article - 2012 - Journal of Insect Conservation
Does natural reforestation represent a potential threat to dung beetle diversity in the Alps?
Claudia Tocco, Matteo Negro, Antonio Rolando, Claudia Palestrini

Ne méprisez pas votre voisin qui fait du pastoralisme : modélisation avec SIG des interactions humain-environnement passées et changements de paysage (centre-ouest de la Jordanie)

Article - 2012 - Journal of Archaeological Science
Don’t abhor your neighbor for he is a pastoralist: the GIS-based modeling of the past human–environment interactions and landscape changes in the Wadi el-Hasa, west-central Jordan
Bülent Arıkan

Activités de pâturage et histoire de la biodiversité dans les Pyrénées - nouvelles connaissances sur les écosystèmes de haute altitude à partir d'un observatoire homme-environnement

Article - 2011 - PAGES news
Grazing activities and biodiversity history in the Pyrenees: New insights on high altitude ecosystems in the framework of a Human-Environment Observatory
Didier Galop, T Houet, F Mazier, G Leroux, D Rius

Réponses des espèces de chauves-souris à l'abandon sylvo-pastorale.

Article - 2011 - Forest Ecology and Management
Response of bat species to sylvo-pastoral abandonment
Martin K. Obrist, Emilie Rathey, Fabio Bontadina, Adriano Martinoli, Marco Conedera, Philippe Christe, Marco Moretti

Diagnostiquer les causes de l'abandon du territoire par l'étude du vautour menacé Neophron percnopterus : l'importance du pastoralisme traditionnel et de la conservation régionale.

Article - 2010 - Oryx
Diagnosing the causes of territory abandonment by the Endangered Egyptian vulture Neophron percnopterus: the importance of traditional pastoralism and regional conservation
Patricia Mateo-Tomás, Pedro P. Olea

Conservation de la biodiversité et pastoralisme chez les Chang Tang tibétains: coexistence ou conflit ?

Article - 2008 - Journal of the International Association of Tibetan Studies
Biodiversity Conservation and Pastoralism in the Tibetan Chang Tang: coexistence or conflict ?
Joseph L. Fox, Ciren Yangzong, Gesang Dunzhu, Tsechoe Dorji & Camille Richard

Impacts de l'intensification de l'agriculture pastorale sur les sols: défis actuels et émergents et implications pour les utilisations futures des terres

Article - 2008 - New Zealand Veterinary Journal
Impacts of intensification of pastoral agriculture on soils: Current and emerging challenges and implications for future land uses
AD Mackay

LECTURE DU PAYSAGE PASTORAL: preuves palynologiques et historiques des impacts du pâturage à long terme sur Wether Hill, INGRAM, NORTHUMBERLAND

Article - 2007 - Landscape History
Reading the pastoral landscape: palynological and historical evidence for the impacts of long-term grazing on Wether Hill, Ingram, Northumberland
Althea L. Davies, Piers Dixon

Conservation de la biodiversité et pastoralisme : Réduction de la taille du troupeau dans un système communautaire de production animale dans le Parc National du Richtersveld

Article - 2007 - Journal of Arid Environments
Biodiversity conservation and pastoralism—reducing herd size in a communal livestock production system in Richtersveld National Park
H.H. Hendricks, W.J. Bond, J.J. Midgley, P.A. Novellie

Conséquences de l'abandon pastoral sur la structure et la diversité de l'avifaune alpine.

Article - 2004 - Journal of Applied Ecology
Consequences of pastoral abandonment for the structure and diversity of the alpine avifauna
Paola Laiolo, Francesca Dondero, Enza Ciliento, Antonio Rolando

Pastoralisme, conservation des plantes et conflits sur la prolifération de la renouée de l'Himalaya dans les zones protégées de haute altitude de l'Himalaya occidental, en Inde

Article - 2004 - Biodiversity and Conservation
Pastoralism, plant conservation, and conflicts on proliferation of Himalayan knotweed in high altitude protected areas of the Western Himalaya, India
Chandra Prakash Kala

Utilisation de l'habitat et conservation des bourdons (Bombus spp.) sous différents régimes de gestion des prairies.

Article - 2002 - Biological Conservation
Habitat use and conservation of bumblebees (Bombus spp.) under different grassland management regimes
Claire Carvell

Intensité du pâturage et diversité des sauterelles, des papillons et des abeilles et guêpes maçonnes

Article - 2002 - Conservation Biology
Grazing Intensity and the Diversity of Grasshoppers, Butterflies, and Trap-Nesting Bees and Wasps
Andreas Kruess, Teja Tscharntke

Réponses des vertébrés au pastoralisme, à l'utilisation militaire des terres et la position géographique dans une savane tropicale Australienne.

Article - 2002 - Austral Ecology
Responses of vertebrates to pastoralism, military land use and landscape position in an Australian tropical savanna
J. C. Z. Woinarski, A. J. Ash

Importance fonctionnelle de la diversité des ongulés dans les savanes africaines et implications écologiques de la propagation du pastoralisme.

Review - 1999 - Biodiversity and Conservation
Functional significance of ungulate diversity in African savannas and the ecological implications of the spread of pastoralism
J.T. Du Toit, D.H.M. Cumming

Effets de la gestion sur l'abondance des papillons dans les prairies à herbes hautes et les pinèdes.

Article - 1998 - Biological Conservation
Effects of management on butterfly abundance in tallgrass prairie and pine barrens
Ann B. Swengel