ControverSciences est archivé. Il reste consultable mais il n'est plus possible de contribuer.
Le code source pour faire tourner le serveur reste disponible sur GitHub.
Cette controverse est encore à l'état embryonnaire !
Vous venez de mettre les pieds dans les tréfonds en construction de ControverSciences.


Comment le maintien d'une période d'infertilité post-reproductive peut-il être sélectionné au cours de l'évolution?



Cadre, focus et mise au point :

Si l’on recherche le propre de l’Homo sapiens, on pourrait presque penser à la ménopause. Ce trait biologique, rare et atypique au sein du règne animal, est responsable d'une perte de la fertilité. Cela est dû à une différence de vieillissement du système reproducteur, qui ne vieillit pas au même rythme que les tissus somatiques. Les femelles qui présentent une période ménopausique peuvent donc continuer à vivre des années après avoir perdu leur fonction de reproduction.

Les raisons de son existence restent encore mal comprises. En effet, il semble que le propre de la vie d’un individu soit de pouvoir se reproduire, afin de transmettre son patrimoine génétique à la descendance. À ce jour, seules les femelles de cinq espèces sociales sont concernées par cette particularité biologique : bélugas, narvals, orques, globicéphale, et nous, humains.

Parmi les cinq espèces concernées, quatre sont des mammifères placentaires appartenant à l’infra ordre des Cetacea, et plus précisément au sous ordre des odontocètes (cétacés à dents). Certains possèdent une structure sociale complexe, s’organisant en plusieurs types de groupes : matriarcaux, philopatriques, célibataires, reproducteurs …

● Quel est l’intérêt d’une telle adaptation biologique dans un monde axé sur la survie et la reproduction ?
● Pourquoi si peu d’espèces sont-elles concernées par ce trait évolutif ?
● La ménopause aurait-elle évoluée chez certaines espèces aux structures sociales complexes, en lien avec la nécessité d’améliorer la survie des descendants ?

La théorie la plus communément admise, dite de la grand-mère, met en avant le rôle de la parenté dans le maintien de la période post reproductive. De ce point de vue, les femelles âgées ménopausées contribuent à la survie et à la reproduction de leur descendance, favorisant alors leur fitness (c’est-à-dire leur valeur sélective ou succès reproducteur). Pour d'autres cependant, le savoir acquis des aînées (soins parentaux apportés aux plus jeunes) ne suffit pas à expliquer la raison de l'apparition de la ménopause.

À l’heure actuelle, nombres de théories s’affrontent. Au vu des connaissances actuelles sur ce casse-tête évolutif demeurant non résolu, le mystère de la ménopause ne semble en réalité que s’épaissir. Il pourrait être intéressant de raviver l’intérêt de la communauté scientifique autour de cette question énigmatique.

Publiée il y a plus de 6 ans par A. Picaut-plat.
Dernière modification il y a plus de 6 ans.

La synthèse :

Si un arrêt de la reproduction existe chez nombre de mammifères, celui-ci est souvent proche de la mort des individus. Mais une longue durée de vie post reproductive fait suite à la ménopause chez certaines espèces. Pourtant, la reproduction se maintient dans l’évolution des espèces car elle est nécessaire à leur survie et à l’apparition des générations suivantes : il ne devrait pas y avoir sélection d’individus infertiles. Deux grands points de vue tentent d'expliquer la prolongation de la durée de vie post-reproductive[1] : un épiphénomène de longévité accrue sans bénéfice pour la fitness, sorte de compromis physiologique favorisant une reproduction efficace en début de vie fertile, ou une adaptation évolutive facilitant un plus fort investissement dans la progéniture existante.

Rôle de la parenté
1. Un gain de fitness favorable à la survie
La reproduction a un coût non négligeable pour l’individu fécond. En perdant cette capacité à partir d’un certain âge, l’énergie peut être redirigée, permettant aux femelles un gain en fitness : la ménopause est alors perçue comme un phénomène adaptatif. Cette idée regroupe les théories de la mère et de la grand-mère[2]. De ce point de vue, la ménopause ne peut être sélectionnée que si le gain en fitness l’emporte sur le coût qu’implique l’arrêt de la capacité reproductive d’un individu. Cette stratégie évolutive révèle une rareté taxonomique, donc elle nécessite des pressions sélectives inhabituelles, difficilement expliquées. Des modèles d’évolution de la ménopause fondés sur la dynamique parentale ont été développés pour étudier le rôle de la répartition démographique d'orques, au travers du modèle de fitness inclusive[3]. Celui-ci comptabilise, dans le succès adaptatif, la parenté d’un individu en plus de ses descendants directs : cela rend compte du maintien sur le long terme de comportements qui, bien que nuisant à un individu, favorisent la survie de sa parenté.

Les orques sont philopatriques (reproduction sur le lieu de naissance) et à accouplement non local (dispersion des mâles). Le lien social au sein d’un groupe augmente avec l’âge des femelles et l’aide fournie à leurs progénitures est favorisée. Les processus biologiques à l’origine de la ménopause peuvent donc augmenter leur succès évolutif en favorisant la survie et reproduction des individus qui en sont aussi porteurs (ici les descendants). Reste à en déterminer les mécanismes. Les femelles orques post-reproductives sont plus souvent à la tête du groupe lors de déplacements, surtout dans les zones à faible abondance de nourriture. Ainsi, en plus de venir appuyer la théorie du modèle parental, l’importance de l’information fournie par ces femelles âgées aux juvéniles leur donnerait un avantage, faisant de cette information un moteur important de l’évolution de la ménopause. Cela n’explique pas l’origine de ce trait, plutôt la raison possible du maintien d’une longue période post reproductive chez les orques[4]. En outre, humains, orques et globicéphales seraient prédisposées à la ménopause afin d’éviter les conflits reproductifs intergénérationnels[5]. Chez les orques, les mâles vivent très rarement avec leur progéniture : ils s’accouplent hors groupe, minimisant le risque de consanguinité, et restent toute leur vie avec leur mère. Il semble que la dispersion biaisée par les mâles permette d’éviter la concurrence des descendants, haussant leurs fitness.

De plus, le taux de mortalité des petits de femelles âgées est presque deux fois plus important que celui de leurs filles lorsque les deux générations se reproduisent au même moment[5]. L'importance de la durée de vie post-reproductive des orques est liée aux soins parentaux prodigués à la progéniture, surtout aux mâles âgés[1]. La mise en évidence de la baisse de fitness et de survie des individus après la mort des mères post-reproductrices vient renforcer la théorie adaptative. La sélection naturelle semble favoriser les jeunes femelles en âge de se reproduire. Chez l'Homme, s’il reste dur de vérifier le potentiel lien entre allongement de la durée de vie post ménopause, plus grande production de petits-enfants et meilleure fitness, la durée de vie post-reproductive d’une femme a un effet positif sur le nombre de descendants qu’elle engendre. Les bienfaits pour la fitness d'une prolongation de l'espérance de vie baissent avec le rendement reproducteur de la progéniture, appuyant de fait la théorie adaptative[6].

2. Investissement parental
Plusieurs alternatives pourraient avoir joué un rôle dans l’apparition de la ménopause, alors issue d’un phénomène adaptatif et d’un compromis physiologique[7]. Pour le notifier, un trait d’histoire de vie en particulier est étudié : l’investissement parental. De ce caractère essentiel à la survie et à la reproduction, dépend en effet la pérennité du patrimoine génétique humain[8], puisque comme chez d'autres mammifères, survie et développement des petits dépendent des soins prodigués par les parents après la naissance (espèce altriciale). Selon la théorie de la pré-maturation humaine, la hausse de l’altricialité au cours de la lignée des Hominini serait due à l’acquisition de la bipédie : la hausse de la taille du cerveau des enfants aurait été limitée par le rétrécissement du bassin des femmes. L'évolution aurait donc opté pour une solution alternative, la baisse du temps de gestation, rendant l’altricialité essentielle à la survie des petits. Cela mène souvent à un parallèle entre théories de la mère et de la grand-mère, même si cette dernière semble trop faible pour tirer de réelles conclusions[2]. Si plusieurs événements évolutifs ont pu impacter le lien entre soins maternels et survie juvénile dans l’histoire humaine, toujours est-il que l’altricialité augmente l’impact de l’absence de soins maternels sur la survie infantile. Tout phénomène haussant l’altricialité conduirait à un âge de maturité sexuelle plus avancé et une fécondité plus élevée et restreinte au plus fort de la période de reproduction. Or ces caractéristiques d'histoire de vie, associés à la prolongation de l’espérance de vie, sont fondamentales chez l’Homme[8].

Divers arguments sont donc en faveur de la théorie adaptative et de l’altricialité : nombre de descendants accru chez les espèces ménopausées, fort taux de survie des petits-enfants et baisse du conflit reproducteur intergénérationnel[2]. L’explication de l’adaptation est étayée par la rareté d’une longue durée de vie post-productive : les pressions environnementales et l'altricialité secondaire croissante des nourrissons hominidés ont pu être des raisons adaptatives favorisant un investissement maternel intense et prolongé[7]. On retrouve aussi cela chez les orques, où les groupes se font et se délient : il semble que l’investissement parental sous-tende en partie les mécanismes ayant mené à l’apparition et au maintien de la ménopause. Ainsi il a été mis en lumière l’effet des soins parentaux sur la survie des juvéniles selon leur ordre de naissance : les derniers d’une fratrie ont un plus faible taux de mortalité que leurs aînés, car ils bénéficieraient de l’expérience acquise avec le temps au sein du groupe[5].

Origines non liées à la parenté
1. Artefact biologique
Il n’est pas dit que la théorie adaptative soit stable d’un point de vue évolutif ; certains pensent donc que la ménopause est un phénomène non adaptatif. La durée de vie post-reproductive pourrait être un artefact de la hausse de durée de vie d’une espèce : chez l'Homme, celle-ci a augmenté au cours du temps. Or il semble qu’en Occident, l’âge climatérique (terme relatif à la ménopause) recule : une disparition de la ménopause pourrait être envisagée. Pour d’autres, la durée de vie post-reproductive serait une assurance contre l’indétermination, la durée de vie ayant augmenté pour s’assurer de bénéficier d’une durée de vie reproductive maximale, de sorte que la dégénérescence somatique survienne après celle de la reproduction (théorie du hasard). Mais le caractère rare et récent de la ménopause ne permet pas d’expliquer entièrement cette hypothèse adaptative[2]. Une autre idée suggère que la ménopause humaine serait due à un arrêt méiotique causant la sénescence reproductrice suite à l’épuisement du stock d'ovocytes viables[9]. D’ailleurs, sur plusieurs variables explicatives étudiées, seul un facteur intrinsèque joue un rôle significatif sur la ménopause : les antécédents de reproduction d'un individu, tel que l’investissement parental fort et précoce[10]. Chez les primates, la durée de vie post-reproductive n’est pas aussi longue que chez l’Homme : en captivité, l’allongement observé de cette durée semble n’être que le résultat d’une adaptation rapide liée au stress[11]. Quelque soit l’idée soutenue, le rôle du progrès est souvent mis en cause dans l’apparition de la ménopause humaine : elle serait un artefact biologique lié à l'amélioration de la médecine et des conditions de vie.

Mais la période post-ménopausique a déjà été caractérisée à l’état ancestral, pouvant atteindre 20 ans chez les femmes humaines. Le progrès ne suffit donc pas à expliquer l’existence d’une espérance de vie post période procréative[12]. Et si tel n’avait pas été le cas, on aurait pu s’attendre à ce que la fertilité féminine évolue avec l’espérance de vie humaine, à l’instar de ce que l’on observe chez les mâles. Enfin, la sélection d'une durée de vie post-reproductive chez les femmes humaines peut être le résultat d'une interaction dynamique entre la nécessité de soins prolongés des petits, un compromis physiologique favorisant une fécondité aisée et une hausse de durée et d'espérance de vie, tardive chez le genre Homo[7].

2. Impact des mâles, cas d’Homo sapiens
Sur une question très centrée sur la femme, une étude soutient que la préférence des mâles pour les femmes jeunes serait responsable de l’accumulation de mutations délétères à leur fertilité[13]. Apparition et maintien de la ménopause ne seraient donc pas dû à un quelconque avantage lié à la survie de l’espèce, mais feraient suite à une absence de pression contre-sélectionnant ces mutations stérilisantes. La fertilité aurait cessé au-delà d’un certain âge, les femelles plus âgées ayant moins d’importance d’un point de vue reproductif. Mais ce modèle n’explique ni son origine, ni les raisons pour lesquelles la sélection naturelle n’a pas étendu la fertilité féminine avec la durée de vie. Un problème de reproductibilité interspécifique fait aussi débat[3] : en dépit des différences d’organisation sociale entre Homo et odontocètes, le système social des cétacés ménopausées pourrait sélectionner l’arrêt précoce de la reproduction et le comportement altruiste des aînées.

Structure sociale et maintien de la ménopause
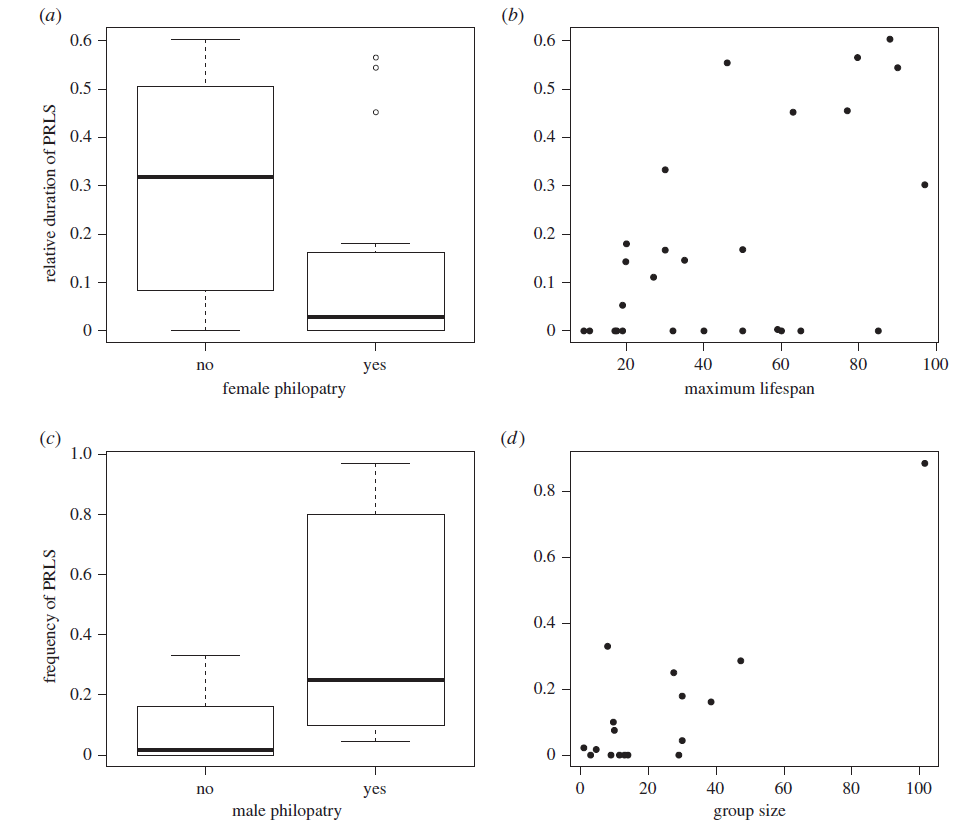
Pour certains, même si les femelles âgées améliorent la fitness de leur descendance, la ménopause est un phénomène biologique restreint à peu d’espèces du fait de l’existence de modèles sociaux particuliers qui explique le maintien de ce trait rare. Chez les cétacés, il s’agirait d’ailleurs d’une homoplasie phylogénétique apparue plusieurs fois indépendamment[14]. Chez nombre de mammifères sociaux, les femelles connaissent un déclin de la parenté locale avec l'âge, mais les deux arrangements sociaux inhabituels caractérisant les espèces ménopausées (femmes biaisant la dispersion et accouplement local pour l'Homme, philopatrie et accouplement hors groupe pour l'orque) donnent lieu à une hausse de ce lien avec l'âge des femelles. Ainsi, Homo et odontocètes sont à terme prédisposés à l'évolution de la ménopause et au comportement altruiste[3]. Mais s’il semble exister un lien significatif entre philopatrie des mâles et longue durée de vie post-reproductive, la ménopause aurait évolué avant la philopatrie, fragilisant cette théorie[15].

Conclusion
Trait adaptatif ou hasard de l’évolution, résultat d’une convergence entre adaptation et épiphénomène, les modalités de l’évolution de la ménopause restent mal comprises. La durée de vie post-reproductive est plus longue chez les espèces longévives : une prolongation pourrait être apparue suite à un mauvais appariement entre vieillissements somatique et reproductif. Le seul consensus émis est l’effet du contexte social sur la ménopause, puisqu’elle n’est retrouvée que dans des modèles sociaux particuliers qui permettent de la maintenir : la dynamique démographique semble avoir le potentiel de façonner cette évolution. Pourtant, la rareté et l’apparition supposée récente de ce trait ne permet pas de conclure sur son origine, ses causes et sa spécificité : de futures études sont nécessaires pour éclaircir ces points.

Publiée il y a plus de 6 ans par A. Picaut-plat.
Dernière modification il y a plus de 6 ans.

Cette synthèse se base sur 15 références.

Comment le maintien d'une période d'infertilité post-reproductive peut-il être sélectionné au cours de l'évolution?
Théorie de la grand-mère  ou  Autres hypothèses non mutuellement exclusives ?



Preuves d'une "durée de conservation" maximale des ovocytes chez les mammifères suggèrant que la ménopause humaine pourrait être une conséquence d'un arrêt méiotique.

Article - 2018 - Scientific Reports 8, nᵒ 1
Evidence for a maximum “shelflife” of oocytes in mammals suggests that human menopause may be an implication of meiotic arrest
Huber S & Fieder M.

Les analyses de l'activité ovarienne révèlent une évolution répétée de l'espérance de vie post-procréation (ménopause) chez les odontocètes.

Article - 2018 - Scientific Reports 8, nᵒ 1
 Analyses of Ovarian Activity Reveal Repeated Evolution of Post-Reproductive Lifespans in Toothed Whales 
Ellis S., Franks D.W., Stuart N., Currie T.E., Cant M.A., Giles D., Balcomb K.C., Croft D.P

Le conflit de la reproduction et l'évolution de la ménopause chez les orques.

Article - 2017 - Current Biology n°27, pp 298–304
Reproductive conflict and the evolution of menopause in killer-whales
Croft D. P., Johnstone R. A., Ellis S., Nattrass S., Franks D. W. , Brent L. J.N., Mazzi S., Balcomb K. C., Ford J. K.B., Cant M. A.

Ménopause chez les primates non humains : étude de comparaison avec les humains.

Article - 2017 - Intech Open Science - Chapter 3
Menopause in Nonhuman Primates: A Comparative Study with Humans
Rovirosa-Hernández M.J., Hernández González M., Guevara-Pérez M. Á., García-Orduña F., de los Ángeles Aguilar-Tirado A., Puga-Olguín A. and Vásquez-Domínguez B. P.

Les schémas de philopatrie et de longévité contribuent à l'évolution de l'espérance de vie post-reproductive chez les mammifères.

Article - 2016 - Biology Letters
Patterns of philopatry and longevity contribute to the evolution of post-reproductive lifespan in mammals
Nichols H.J., Zecherle L., Arbuckle K.

Connaissances écologiques, leadership et évolution de la ménopause chez les épaulards (orques)

Article - 2015 - Current Biology 25, nᵒ 6
 Ecological Knowledge, Leadership, and the Evolution of Menopause in Killer Whales 
Brent L.J.N., Franks D.W., Foster E.A., Balcomb K.C., Cant., Croft D.P

La durée de vie post-reproductive : perspectives de l'évolution.

Article - 2013 - BioSciences Master Reviews
The post-reproductive lifespan : evolutionary perspectives
Thomas P.

Choix du partenaire et origine de la ménopause

Article - 2013 - Édité par Mark M. Tanaka. PLoS Computational Biology 9, nᵒ 6
 Mate Choice and the Origin of Menopause
Morton R.A., Stone J.R., Singh R.S

Prolongation de la durée de vie post-ménopause chez l'épaulard

Article - 2012 - Science 337, nᵒ 6100
 Adaptive Prolonged Postreproductive Life Span in Killer Whales  https://doi.org/10.1126/science.1224198.
Foster E. A., Franks D.W., Mazzi S., Darden S.K, Balcomb K.C., Ford J.K.B., Croft D.P

L'évolution de la ménopause chez les Cetacea et les humains : le rôle de la démographie

Article - 2010 - Biological Sciences 277, nᵒ 1701
The Evolution of Menopause in Cetaceans and Humans: The Role of Demography 
Johnstone R.A., Cant M.A

L'influence des soins maternels dans le façonnement de la survie et de la fertilité humaine.

Article - 2007 - Evolution 61, n°12
The influence of maternal care in shaping human survival and fertility
Pavard S., Koons D.N. et Heyer E.

Avantages d'une durée de vie post-ménopause prolongée sur la fitness, chez les femmes

Article - 2004 - NATURE
Fitness benefits of prolonged post-reproductive lifespan in women
Lahdenperä M., Lummaa V., Helle S., Tremblay M., Russell A.F

Antiquité de la vie post-reproductive : y a-t-il des impacts modernes sur la durée de vie post-reproductive des chasseurs-cueilleurs ?

Article - 2002 - American Journal of Human Biology, n°14
Antiquity of post reproductive life: are there modern impacts on hunter-gatherer postreproductive life spans?
Blurton Jones N.G., Hawkes K. et O'Connell J.F.

Ménopause : Adaptation ou Epiphénomène ?

Article - 2001 - Evolutionary Anthropology n°10 - pp 43-57
Menopause : Adaptation or Epiphenomenon ?
Peccei J.S.

Variabilité internationale des âges à la ménarche et à la ménopause : modèles et principaux facteurs.

Article - 2001 - Human Biology v. 73, no. 2, pp. 271–290
International Variability of Ages at Menarche and Menopause: Patterns and Main Determinants
Thomas F., Renaud F., Benefice E., de Meeûs T., Guegan J.-F.