ControverSciences est archivé. Il reste consultable mais il n'est plus possible de contribuer.
Le code source pour faire tourner le serveur reste disponible sur GitHub.
Cette controverse est encore à l'état embryonnaire !
Vous venez de mettre les pieds dans les tréfonds en construction de ControverSciences.


Quels sont les impacts de l’écotourisme sur la biodiversité ?



Cadre, focus et mise au point :

La mondialisation et le développement des moyens de transport a entraîné l'apparition d'un nouveau mode de tourisme : l'écotourisme dit aussi le tourisme vert. Ce mode de tourisme qui a émergé il y a une trentaine d’années, se démarque du tourisme de masse et se définit comme une visite des paysages naturels, souvent peu perturbés par l’homme, dans la quête de contemplation et de découverte de la biodiversité et des écosystèmes. Ceci comprend à la fois des activités de plongée pour observer l'écosystème marin, des visites organisées pour apercevoir des animaux rares et/ou emblématiques (manchots, iguanes, grands mammifères...) mais aussi des activités de randonnées dans des zones protégées. Cette nouvelle forme de tourisme durable a été créée dans le but de préserver les environnements : elle se veut respectueuse des écosystèmes, tout en contribuant à les restaurer, en cherchant à diminuer au maximum l’empreinte écologique que peut entraîner le tourisme. L'écotourisme contribue également à éveiller les consciences de la société sur l'érosion de la biodiversité due aux activités anthropiques.

Cependant, l'écotourisme induit également une forte proximité et de fortes interactions homme-animal : par exemple un marché s'est développé sur la possibilité de s'approcher au plus près des cétacés, ou encore de plus en plus de chemins de randonnées se sont développés dans des zones protégées, où la faune sauvage y est concentrée. Tous ces éléments sont susceptibles d'impacter la survie, le comportement et la viabilité des populations sauvages observées. Si tel était le cas, l'écotourisme échouerait à la fois dans son but de préserver la biodiversité et dans la capacité d'attirer les touristes, puisque sans biodiversité, l'écotourisme perd totalement son intérêt. Il est alors vitale de déterminer si la présence touristique ou les structures mises en place dans ce cadre sont susceptibles d'impacter négativement la biodiversité.

Quels sont les impacts de l'écotourisme sur la biodiversité ? Sont-ils uniformes pour tous les taxons (mammifères, oiseaux, arthropodes...) ? Pour tout types d'habitats ? Pour toutes réponses écologiques (survie, comportement) ? Pour tout types d'écotourismes (randonnée, plongée) ? Est-il possible de pratiquer l'écotourisme tout en assurant un effet neutre, voire positif, sur la biodiversité ?

Nous étudierons par une méta-analyse, les travaux réalisés depuis 25 ans sur les réponses écologiques des espèces suite au développement de l'écotourisme.

Publiée il y a plus de 8 ans par Université de Montpellier et V. Luccisano.
Dernière modification il y a plus de 8 ans.

La synthèse :

Introduction

L'écotourisme est une activité en pleine expansion depuis une trentaine d'années. Cela a augmenté les interactions entre les hommes et les espèces jusqu'alors très peu observées. Ces dernières sont peu habituées à l'homme et les conséquences de ces interactions sont peu connues. De ce fait, il est nécessaire de connaître la nature et l'intensité des impacts de l'écotourisme sur la biodiversité.

Quelles sont les principales réponses écologiques vis-à-vis de l'écotourisme ?

On distingue deux types de réponses écologiques particulièrement sensibles à l'écotourisme : les réponses à l'échelle individuelle et de la population.

Au niveau individuel, on compte trois réponses écologiques principales[1] :

  • Réponses de fuites : distance de fuite, distance d'alerte.
  • Temps alloué aux activités : recherche de nourriture, se nourrir, protection des juvéniles, interactions sociales, recherche de partenaires sexuels.
  • Réponses physiologiques, immunitaires et reproductives : changement hormonaux et du système immunitaire.

Au niveau de la population, on étudie des paramètres écologiques classiques comme la taille de la population et le taux de survie (que l'on peut discriminer par classes d'âges), mais également la probabilité d'extinction ou le temps avant l'extinction[2].

Des réponses variées en fonction des taxons et des habitats étudiés

Les réponses des individus vis-à-vis de l'écotourisme sont variables selon les espèces étudiées et selon les paramètres étudiés. De plus, les études ne sont pas réalisées de manière homogène selon les taxons et les habitats. De nombreuses études ont déjà été réalisées sur les oiseaux qui sont des modèles d'études appréciés des chercheurs. Parmi elles, la plupart rapporte un impact négatif sur les populations d'oiseaux étudiés[3] [4] [5] [6] : une augmentation du stress est observé dans la majorité des cas. Cependant l'incidence de ce stress sur la fitness (survie et reproduction) de ces individus a été très peu étudiée. Néanmoins des études ont pu montrer une diminution de la survie des juvéniles[5] à la suite d'une présence humaine ce qui est corrélé avec une augmentation du stress chez ces jeunes oiseaux. De plus des changements comportementaux des parents vis à vis de l'homme ont pu être observés[6]. Cela pourrait induire un abandon du nid et de ce fait une survie plus faible des jeunes suite à la visite des touristes. D'autre part, il a été montré que les oiseaux étaient capables d'habituation[4] et que l'écotourisme impacte peu les populations d'oiseaux lorsqu'il est réalisé de manière raisonnée et encadrée[7].

Concernant les mammifères terrestres, ces derniers ont généralement des comportements de fuite vis-à-vis de l'homme, perçu comme une menace[8] ou dans certains cas des comportements agressifs envers eux[9]. Cependant cette présence n'est pas forcément perçue comme celle d'un prédateur. En effet, dans certains cas les animaux fuient moins l'homme que leur prédateur naturel[10] ou des conspécifiques agressifs[11]. Ceci dit, ces comportements alternatifs ne sont observés que si les groupes d'écotouristes sont limités à un petit nombre de personnes.

En ce qui concerne les autres taxons étudiés, le nombre d'études est assez restreinte[1]. Pour les reptiles, un seul représentant a beaucoup été étudié : l'iguane. Ces études ne concordent pas toutes dans le même sens en fonction de ce qui a été observé. L'écotourisme impacte le stress des iguanes[12] toutefois, cela ne semble pas influencer leur survie[13] [12] mais au contraire augmenter leur croissance du à une alimentation apportée par l'homme. Cette dernière doit être contrôlée pour éviter que les iguanes souffrent de problèmes digestifs[14]. Concernant les milieux marins quelque études ont essayé de caractériser l'impact possible de l'écotourisme sur ce milieu d'étude qui est difficile d'observer. Malgré ces difficultés, des études ont pu montrer des changements de comportements chez des mammifères marins et des poissons[15] [16] [17]. Les coraux étant des organismes immobiles il a beaucoup été étudié l'impact de l'écotourisme sur ces espèces. Des études[18] [19] ont mis en évidence que les plongeurs impactaient fortement les récifs coralliens en les rendant plus vulnérables physiquement et face aux maladies.

On observe dans la majorité des cas une réponse négative de l’écotourisme sur la biodiversité (augmentation du stress[20], modifications du temps alloué aux activités[17]…). Il est difficile cependant de déterminer si ces modifications auront un impact sur la viabilité des populations. Certaines études ont toutefois observées des réponses positives : l’écotourisme augmenterait la taille de population et diminuerait le risque d’extinction de populations d’animaux charismatiques (orang-outang, guépard)[2]. Egalement, la présence humaine peut servir de « bouclier » pour les proies contre les prédateurs[21], ou pour les ours femelles contre les mâles agressifs[11].

Les impacts du nourrissage artificiel sur la biodiversité

Suite à la popularisation de l'écotourisme et à l'augmentation de la demande, de nombreux tours opérateurs ont décidé de procéder aux nourrissages artificiels de la faune sauvage. Pour cela, des endroits précis de nourrissage ont été choisi pour attirer cette dernière et ainsi augmenter la probabilité de rencontre. Dans certains cas, les touristes eux-mêmes procèdent à l'apport de nourriture aux animaux[22]. Ce dernier n'est toutefois pas sans conséquences sur l'écologie des individus et des populations concernées. Tout d'abord, il modifie les comportements et les mouvements des animaux : ceux-ci passent moins de temps à chercher de la nourriture et diminuent leur aire de recherche de nourriture[17]. Ce nourrissage peut également attirer des prédateurs (qui peuvent augmenter les agressions avec les humains[21] ou avec l'espèce nourrie), attirer des compétiteurs, augmenter la densité de populations et les interactions agressives intra-spécifiques. De plus, le nourrissage peut créer une dépendance envers l'apport de nourriture anthropique, rendant les individus incapables de trouver de la nourriture par eux-mêmes, et mettant en danger leur viabilité en cas d'arrêt de cet apport[22]. Enfin, si la qualité de la nourriture n'est pas contrôlée, elle peut diminuer la santé et causer de graves maladies à la faune sauvage, spécialement dans les cas d'apports de nourritures transformées ou très grasses qui ne sont pas adaptées aux animaux[14]. Cependant ces changements ne sont pas systématiquement négatifs. En effet, cet apport de nourriture peut avoir un impact positif sur la croissance et l'état corporel de certains individus[13]. Ainsi, une augmentation de taille chez les femelles va également augmenter leur reproduction, puisque la taille et la fréquence de reproduction sont positivement corrélées. L'apport de nourriture permet également aux organismes d'allouer plus de temps à la reproduction. De ce fait cet apport peut permettre de sauver des espèces telle que les populations de vautours et de griffons en Afrique du Sud[22].

Vers une sélection des individus les plus compatibles à l'écotourisme ?

L'écotourisme peut aussi être vu comme un changement environnemental qui favoriserait les individus les plus adaptés à la cohabitation et aux interactions avec l'homme. En effet, au niveau intra-spécifique, des différences individuelles de comportement envers les humains sont observées : les "timides" (shy/reactive) fuyant et évitant les contacts avec les humains, et les "audacieux" (bold/tame) acceptant la présence humaine. Worrell (2017) a proposé un modèle de réponse des individus timides et audacieux à des phénomènes d'écotourisme. Tout d'abord, ces individus vont s'organiser de manière spatiale : les individus les plus timides vont fuir les endroits où les touristes sont présents et les individus les plus audacieux vont coloniser ces endroits. Toutefois, ceci est possible seulement lorsque des habitats alternatifs sont disponibles où les individus timides puissent accéder. Autrement, nous pouvons supposer que les individus les plus timides aient une moins grande survie et fécondité, puisqu'ils passent plus de temps à fuir et à être vigilant qu'à chercher de la nourriture ou s'occuper de leur progéniture par rapport aux individus audacieux. Ainsi, l'écotourisme favoriserait les individus les plus compatibles à l'écotourisme ce qui induirait une sélection des individus audacieux et une diminution des individus timides, alors contre-sélectionnés. Ceci est toutefois à remettre en perspective, puisqu'une habituation des individus aux interactions humaines induirait également une augmentation de la vulnérabilité des proies envers les prédateurs[21].

Difficultés méthodologiques dans l'étude de l'impact de l'écotourisme sur la biodiversité

La majorité des études sont basées sur des données empiriques. Plusieurs difficultés sont observées dans les méthodes expérimentales actuelles utilisées pour étudier l'impact de l'écotourisme sur la biodiversité.

Tout d'abord, la majorité des études empiriques se basent sur la méthode expérimentale Control-Impact (CI), c'est à dire que l'on compare des populations soumises et non soumises à l'écotourisme[23]. Cette méthode permet de détecter une corrélation entre la présence de touristes et la différence de réponse écologique de la biodiversité étudiée : toutefois il ne permet pas d'établir un lien de causalité. En effet, la différence observée peut être expliquée par d'autres facteurs confondants qui sont différents entre les types de populations. Pour résoudre, ce problème, il faudrait réaliser une méthode Before-After Control-Impact (BACI). Cela permettrait de comparer les paramètres écologiques avant et après l'application de l'écotourisme, aux populations ayant subies et n'ayant pas subies l'écotourisme. Malheureusement, très peu de données sont disponibles sur les paramètres écologiques des populations avant l'apparition de l'écotourisme.

Deuxièmement, ces études n'ont à disposition qu'un faible nombre de réplications disponibles. Afin de tester l'effet de l'écotourisme il est nécessaire d'avoir suffisamment de populations ayant subies différents niveaux de perturbations. Or, leur nombre est très faible car l'écotourisme est très souvent local. En conséquence, le très faible nombre de réplicats donne peu de puissance aux tests statistiques utilisés et peu de certitudes sur les résultats obtenus.

Enfin, l'écotourisme est apparu au début des années 1990 et a été grandement popularisé durant les années 2000 : c'est donc un phénomène récent. Il est donc difficile d'évaluer les réponses à long termes sur ces populations, et il est tout à fait possible de mal estimer les impacts de l'écotourisme quels qu'ils soient[1]. En effet de nombreuse études sont réalisées sur le niveau de stress des individus[20] [12] [16] [5] [4]). Malheureusement dans la plupart des cas, les analyses n'ont pas pu être réalisées sur du long terme. De ce fait nous ne pouvons pas savoir si cette augmentation de stress va impacter la fitness (reproduction et survie) des individus.

Conclusion

L'écotourisme semble impacter de manière variée les différents écosystèmes étudiés et les espèces qui y sont présentes. Dans la plupart des cas celui-ci à un impact négatif plus ou moins grand sur les populations animales. Cependant, ces impacts peuvent être minimisés par une régulation de son activité. En effet, constituer des petits groupes d'une dizaine de personnes, contraindre le bruit émis par les touristes[24], éveiller les touristes aux dégradations de la biodiversité, limiter et contrôler l'apport de nourriture artificiel[22] peut limiter drastiquement les impacts négatifs actuels de l'écotourisme sur la biodiversité. Notamment, une charte de bonne conduite pourrait être lue et signée afin de responsabiliser les touristes face à la sauvegarde de la biodiversité. De plus, une augmentation de l'utilisation des outils de modélisation[2] [25] est essentielle pour prédire l'impact possible du tourisme afin de cibler et d'éliminer les structures et comportements qui limitent la viabilité des populations et rendre ainsi l'écotourisme le plus propre possible. D'autre part, l'écotourisme a aussi un impact indirect sur la biodiversité grâce à son apport économique. L'argent engendré permet de mettre en place des plans de sauvegarde, de créer des zones protégées[2] [26], de financer des projets de recherche pour connaître la dynamique évolutive des espèces vis-à-vis des changements environnementaux pour mieux les préserver. Il est alors nécessaire de minimiser les impacts négatifs directs de l'écotourisme sur l'écologie des populations.

Publiée il y a plus de 8 ans par P. Barry et collaborateurs..
Dernière modification il y a plus de 6 ans.

Cette synthèse se base sur 26 références.

Quels sont les impacts de l’écotourisme sur la biodiversité ?
Positif  ou  Négatif ?



Les perturbations humaines liées à l'écotourisme ont un impact « dose-dépendant » sur l'immunité innée et le stress oxydatif chez les iguanes marins, Amblyrhynchus cristatus

Article - 2017 - Biological Conservation
Too much of a good thing? Human disturbance linked to ecotourism has a “dose-dependent” impact on innate immunity and oxidative stress in marine iguanas, Amblyrhynchus cristatus
Susannah S. French, Lorin A. Neuman-Lee, Patricia A. Terletzky, Nicholas M. Kiriazis, Emily N. Taylor, Dale F. DeNardo

Est-ce que les effets négatifs de l'écotourisme sur la faune sauvage sont sur-représentés ? Une revue des méthodes d'évaluation et des résultats empiriques.

Méta-analyse - 2017 - Biological Conservation
Are negative effects of tourist activities on wildlife over-reported? A review of assessment methods and empirical results
Philip W. Bateman, Patricia A. Fleming

Effets du tourisme sur la taille du corps, la croissance, l'état et la démographie des Iguane Cyclura cychlura inornata à Allen Cay dans les Bahamas

Article - 2016 - Herpetological Conservation and Biology
EFFECTS OF TOURISM ON BODY SIZE, GROWTH, CONDITION, AND DEMOGRAPHY IN THE ALLEN CAYS IGUANA, CYCLURA CYCHLURA INORNATA, ON LEAF CAY, THE BAHAMAS
GEOFFREY R. SMITH et JOHN B. IVERSON

Effets nets de l'écotourisme sur la survie d'espèces menacées

Article - 2016 - PLOS ONE
Net Effects of Ecotourism on Threatened Species Survival
Ralf C. Buckley, Clare Morrison, J. Guy Castley

L'impact des chemins de randonnée sur la végétation et le sol : recherches actuelles et recommandations

Méta-analyse - 2015 - Journal of Environmental Management
The impacts of trail infrastructure on vegetation and soils: Current literature and future directions
Ballantyne M., C.M. Pickering

Comment l'écotourisme peut accroître la vulnérabilité des proies face aux prédateurs

Review - 2015 - Trends in Ecology & Evolution
How Nature-Based Tourism Might Increase Prey Vulnerability to Predators
Benjamin Geffroy, Diogo S.M. Samia, Eduardo Bessa, Daniel T. Blumstein

Les dégâts causés par la plongée sous-marine et l'intensité des activités touristiques augmentent la prévalence des maladies chez les coraux.

Article - 2014 - Biological Conservation
Scuba diving damage and intensity of tourist activities increases coral disease prevalence
Lamb J.B., True J.D., Piromvaragorn S., Willis B.L.

Impact de l'écotourisme sur la faune piscicole de la région de Bonito (État du Mato Grosso do Sul, Brésil): mesures écologiques, comportementales et physiologiques.

Article - 2014 - Neotropical Ichthyology
Impact of ecotourism on the fish fauna of Bonito region (Mato Grosso do Sul State, Brazil): ecological, behavioural and physiological measures
Ana Carolina Lima, Jorge Assis, Diogo Sayanda, José Sabino, Rui F. Oliveira

L'apport de nourriture par les touristes inverse les activités diurnes et altère les mouvements et la distribution spatiale de la raie pastenague américaine Dasyatis americana

Article - 2013 - PLoS ONE
Supplemental Feeding for Ecotourism Reverses Diel Activity and Alters Movement Patterns and Spatial Distribution of the Southern Stingray, Dasyatis americana
Mark J. Corcoran, Bradley M. Wetherbee, Mahmood S. Shivji, Matthew D. Potenski, Demian D. Chapman, Guy M. Harvey

Effets de l’écotourisme sur l’iguane des rochers menacé du Nord des Bahamas (Cyclura cychlura)

Article - 2011 - Herpetological Conservation and Biology
EFFECTS OF ECOTOURISM ON ENDANGERED NORTHERN BAHAMIAN ROCK IGUANAS (CYCLURA CYCHLURA)
Kirsten N. Hines

La réduction des bruits de conversations entre touristes : un processus gagnant-gagnant entre écotouristes et oiseaux dans la forêt tropicale au Pérou.

Article - 2010 - Biotropica
Conversational Noise Reduction as a Win-Win for Ecotourists and Rain Forest Birds in Peru
Daniel S. Karp, Roger Guevara

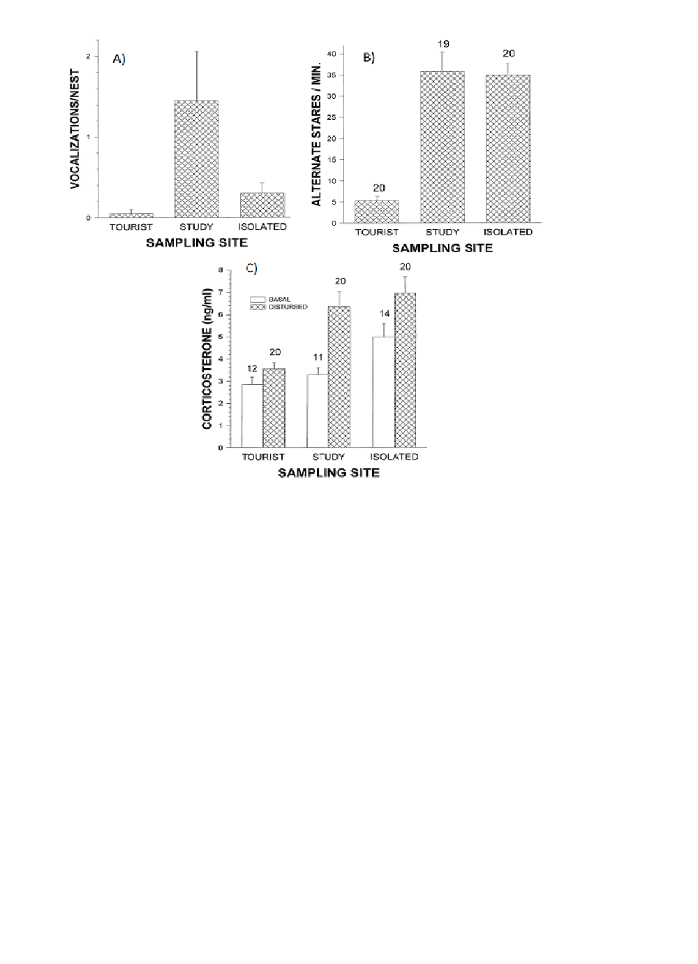
Les perturbations humaines impactent les réponses hormonales et immunitaires des iguanes marins des Galapagos (Amblyrhynchus cristatus)

Article - 2010 - Hormones and Behavior
Human disturbance alters endocrine and immune responses in the Galapagos marine iguana (Amblyrhynchus cristatus)
Susannah S. French, Dale F. DeNardo, Timothy J. Greives, Christine R. Strand, Gregory E. Demas

Rendre la faune sauvage touristique : habituation et attraction

Review - 2009 - Society and Animals
Making Wildlife Viewable: Habituation and Attraction
John Knight

L'étude des réponses de la faune sauvage aux perturbations humaines grâce à des outils de simulation

Article - 2009 - Ecological Complexity
Understanding wildlife responses to human disturbance through simulation modelling: A management tool
Victoria J. Bennett, Matthew Beard, Patrick A. Zollner, Esteban Fernández-Juricic, Lynne Westphal, Cherie L. LeBlanc

Plonger dans les récifs ? La plongée touristique intensive menace les récifs du nord de la Mer Rouge

Article - 2008 - Marine Pollution Bulletin
Diving down the reefs? Intensive diving tourism threatens the reefs of the northern Red Sea
Harald Hasler, Jörg A. Ott

Les préférences des visiteurs de la faune des zones protégées en Afrique du Sud: l'implication du rôle de l'écotourisme dans la conservation

Article - 2007 - Journal of Ecotourism
Wildlife Viewing Preferences of Visitors to Protected Areas in South Africa: Implications for the Role of Ecotourism in Conservation
Peter A. Lindsey, R. Alexander, M.G.L. Mills, S. Romañach, R. Woodroffe

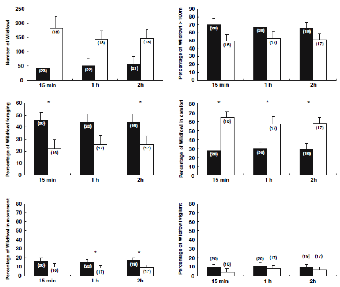
Perturbation de l'écotourisme sur la sauvagine dans des aires protégées : approches historiques, empiriques et expérimentales en Camargue, Sud de la France.

Article - 2007 - Topics in Biodiversity and Conservation
Ecotourism disturbance to wildfowl in protected areas: historical, empirical and experimental approaches in the Camargue, Southern France
Matthieu Guillemain., M, R, Blanc., C, Lucas & Michel Lepley

Le rôle de l'écotourisme dans la conservation: Panacée ou boîte de pandore?

Article - 2005 - Biodiversity and Conservation
The role of ecotourism in conservation: panacea or Pandora’s box?
Oliver Krüger

Risque perçu, déplacement et refoulement chez les ours bruns: impacts positifs de l'écotourisme?

Article - 2005 - Biological Conservation
Perceived risk, displacement and refuging in brown bears: positive impacts of ecotourism?
Owen T.Nevin , Barrie K.Gilbert

Gérer les impacts du tourisme basé sur les dauphins à travers la définition d'habitats critiques: le cas des grands dauphins (Tursiops spp.) À Doubtful Sound, Nouvelle-Zélande

Article - 2004 - Tourism Management
Managing the impacts of dolphin-based tourism through the definition of critical habitats: the case of bottlenose dolphins (Tursiops spp.) in Doubtful Sound, New Zealand
D. Lusseau, J.E.S. Higham

Les bateaux d'observation des dauphins changent le comportement des grands dauphins (Tursiops truncatus).

Article - 2004 - Biological Conservation
Dolphin-watching tour boats change bottlenose dolphin (Tursiops truncatus) behaviour
Rochelle Constantine, Dianne H Brunton et Todd Dennis

Les impacts de l'écotourisme sur les manchots antipodes (Megadyptes antipodes) : est ce qu'un accès non régulé des visiteurs impacte la masse et la survie des juvéniles ?

Article - 2004 - Biological Conservation
Nature-based tourism impacts on yellow-eyed penguins Megadyptes antipodes: does unregulated visitor access affect fledging weight and juvenile survival?
Maureen R. McClung, Philip J. Seddon, M. Massaro, A.N. Setiawan

L'écotourisme réduit la survie et augmente le stress chez les juvéniles de hoazin huppé (Opisthocomus hoazin)

Article - 2004 - Biological Conservation
Exposure to ecotourism reduces survival and affects stress response in hoatzin chicks (Opisthocomus hoazin)
Antje Müllner, K Eduard Linsenmair, Martin Wikelski

L'écotouriste accidentel : mesures des impacts des visiteurs sur les singes hurleurs en voie de disparition sur un site archéologique bélizien

Article - 2003 - Environmental Conservation
The incidental ecotourist: measuring visitor impacts on endangered howler monkeys at a Belizean archaeological site
Rebecca Grossberg, Adrian Treves, Lisa Naughton-Treves

Nourrir la faune sauvage pour attirer les touristes : une synthèse des problèmes et des impacts

Review - 2002 - Tourism Management
Feeding wildlife as a tourism attraction: a review of issues and impacts
Mark B. Orams

Effets des activités humaines sur les populations de ouistiti pygmée en Amazonie

Article - 2000 - Biological Conservation
Effects of human activities on wild pygmy marmosets in Ecuadorian Amazonia
Stella de la Torre, Charles T Snowdon, Monserrat Bejarano

Réponses du caribou des bois à l'écotourisme hivernal dans la réserve de Charlevoix aux Canada.

Article - 2000 - Biological Conservation
Responses of woodland caribou to winter ecotourism in the Charlevoix Biosphere Reserve, Canada
Mario Duchesne, Steeve D Côté, Cyrille Barrette

Réponses comportementales et hormonales des manchots de Magellan (Spheniscus magellanicus) au tourisme et à la visite des sites de nidification.

Article - 1999 - Biological Conservation
Behavioral and hormonal responses of Magellanic penguins (Spheniscus magellanicus) to tourism and nest site visitation
Gene S Fowler

Effets de l'écotourisme sur la répartition des oiseaux aquatiques dans un refuge faunique

Article - 1995 - Conservation Biology,
Effects of Ecotourism on Distribution of Waterbirds in a Wildlife Refuge
Klein M. L., S. R. Humphrey, & F. H. Percival

Impacts biologiques de l'écotourisme: touristes et tortues nicheuses dans le parc national de Tortuguero, Costa Rica

Article - 1994 - Wildlife Society Bulletin
BIOLOGICAL IMPACTS OF ECOTOURISM: TOURISTS AND NESTING TURTLES IN TORTUGUERO NATIONAL PARK, COSTA RICA
Susan K. Jacobson and Alfredo Figueroa LopezReviewed